
目录
337. 打家劫舍 III House Robber iii 🌟🌟
337. 打家劫舍 III House Robber iii
小偷又发现了一个新的可行窃的地区。这个地区只有一个入口,我们称之为 root 。
除了 root 之外,每栋房子有且只有一个“父“房子与之相连。一番侦察之后,聪明的小偷意识到“这个地方的所有房屋的排列类似于一棵二叉树”。 如果 两个直接相连的房子在同一天晚上被打劫 ,房屋将自动报警。
给定二叉树的 root 。返回 在不触动警报的情况下 ,小偷能够盗取的最高金额 。
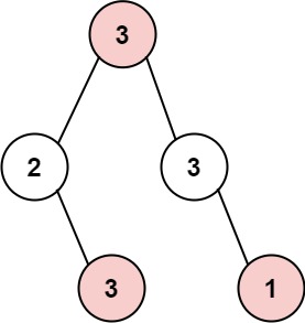
示例 1:

输入: root = [3,2,3,null,3,null,1] 输出: 7 解释: 小偷一晚能够盗取的最高金额 3 + 3 + 1 = 7
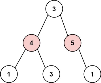
示例 2:

输入: root = [3,4,5,1,3,null,1] 输出: 9 解释: 小偷一晚能够盗取的最高金额 4 + 5 = 9
提示:
- 树的节点数在
[1, 10^4]范围内 0 <= Node.val <= 10^4
相关:
213. 打家劫舍 II House Robber ii 🌟🌟
代码:
package main
import "fmt"
type TreeNode struct {
Val int
Left *TreeNode
Right *TreeNode
}
func rob(root *TreeNode) int {
robResult, notRobResult := _rob(root)
return max(robResult, notRobResult)
}
func _rob(node *TreeNode) (int, int) {
if node == nil {
return 0, 0
}
leftRob, leftNotRob := _rob(node.Left)
rightRob, rightNotRob := _rob(node.Right)
robResult := node.Val + leftNotRob + rightNotRob
notRobResult := max(leftRob, leftNotRob) + max(rightRob, rightNotRob)
return robResult, notRobResult
}
func max(a, b int) int {
if a > b {
return a
}
return b
}
func listToTree(lst []interface{}) *TreeNode {
if len(lst) == 0 {
return nil
}
root := &TreeNode{Val: lst[0].(int)}
queue := []*TreeNode{root}
i := 1
for i < len(lst) {
node := queue[0]
queue = queue[1:]
if lst[i] != nil {
node.Left = &TreeNode{Val: lst[i].(int)}
queue = append(queue, node.Left)
}
i++
if i < len(lst) && lst[i] != nil {
node.Right = &TreeNode{Val: lst[i].(int)}
queue = append(queue, node.Right)
}
i++
}
return root
}
func main() {
nums := []interface{}{3, 2, 3, nil, 3, nil, 1}
root := listToTree(nums)
fmt.Println(rob(root))
nums = []interface{}{3, 4, 5, 1, 3, nil, 1}
root = listToTree(nums)
fmt.Println(rob(root))
}
输出:
7
9
338. 比特位计数 Counting Bits
给你一个整数 n ,对于 0 <= i <= n 中的每个 i ,计算其二进制表示中 1 的个数 ,返回一个长度为 n + 1 的数组 ans 作为答案。
示例 1:
输入:n = 2 输出:[0,1,1] 解释: 0 --> 0 1 --> 1 2 --> 10
示例 2:
输入:n = 5 输出:[0,1,1,2,1,2] 解释: 0 --> 0 1 --> 1 2 --> 10 3 --> 11 4 --> 100 5 --> 101
提示:
0 <= n <= 10^5
进阶:
- 很容易就能实现时间复杂度为
O(n log n)的解决方案,你可以在线性时间复杂度O(n)内用一趟扫描解决此问题吗? - 你能不使用任何内置函数解决此问题吗?(如,C++ 中的
__builtin_popcount)
代码: 动态规划
package main
import "fmt"
func countBits(n int) []int {
ans := make([]int, n+1)
for i := 1; i <= n; i++ {
ans[i] = ans[i&(i-1)] + 1
}
return ans
}
func main() {
fmt.Println(countBits(2))
fmt.Println(countBits(5))
}
输出:
[0 1 1]
[0 1 1 2 1 2]
逐位计算:
```golang
func countBits(n int) []int {
ans := make([]int, n+1)
for i := 0; i <= n; i++ {
count := 0
num := i
for num != 0 {
count += num & 1
num >>= 1
}
ans[i] = count
}
return ans
}
```
🌟 每日一练刷题专栏 🌟
✨ 持续,努力奋斗做强刷题搬运工!
👍 点赞,你的认可是我坚持的动力!
🌟 收藏,你的青睐是我努力的方向!
✎ 评论,你的意见是我进步的财富!
☸ 主页:https://hannyang.blog.youkuaiyun.com/
|
| Rust每日一练 专栏(2023.5.16~)更新中... |
|
| Golang每日一练 专栏(2023.3.11~)更新中... |
|
| Python每日一练 专栏(2023.2.18~2023.5.18)暂停更 |
|
| C/C++每日一练 专栏(2023.2.18~2023.5.18)暂停更 |
|
| Java每日一练 专栏(2023.3.11~2023.5.18)暂停更 |

文章提供了两道算法题目的解法,分别是关于在二叉树中打家劫舍(不触发警报下最大化盗窃金额)的问题和计算整数二进制表示中1的个数。文章通过递归和动态规划给出了高效的解决方案,并附有代码示例。





2133

被折叠的 条评论
为什么被折叠?



