
目录
328. 奇偶链表 Odd Even Linked-list 🌟🌟
382. 链表随机节点 Llinked-list Random Node 🌟🌟
328. 奇偶链表 Odd Even Linked-list
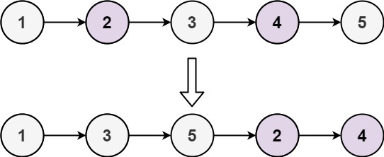
给定单链表的头节点 head ,将所有索引为奇数的节点和索引为偶数的节点分别组合在一起,然后返回重新排序的列表。
第一个节点的索引被认为是 奇数 , 第二个节点的索引为 偶数 ,以此类推。
请注意,偶数组和奇数组内部的相对顺序应该与输入时保持一致。
你必须在 O(1) 的额外空间复杂度和 O(n) 的时间复杂度下解决这个问题。
示例 1:

输入: head = [1,2,3,4,5] 输出: [1,3,5,2,4]
示例 2:

输入: head = [2,1,3,5,6,4,7] 输出: [2,3,6,7,1,5,4]
提示:
n ==链表中的节点数0 <= n <= 10^4-10^6 <= Node.val <= 10^6
代码:
package main
import "fmt"
type ListNode struct {
Val int
Next *ListNode
}
func oddEvenList(head *ListNode) *ListNode {
if head == nil || head.Next == nil {
return head
}
oddHead := head
evenHead := head.Next
odd := oddHead
even := evenHead
for even != nil && even.Next != nil {
odd.Next = even.Next
odd = odd.Next
even.Next = odd.Next
even = even.Next
}
odd.Next = evenHead
return oddHead
}
func buildList(list []int) *ListNode {
head := &ListNode{Val: 0}
for i := len(list) - 1; i >= 0; i-- {
p := &ListNode{Val: list[i]}
p.Next = head.Next
head.Next = p
}
return head.Next
}
func printList(head *ListNode) {
curr := head
for curr != nil {
fmt.Printf("%d->", curr.Val)
curr = curr.Next
}
fmt.Println("nil")
}
func main() {
nums := []int{1, 2, 3, 4, 5}
head := buildList(nums)
printList(head)
head = oddEvenList(head)
printList(head)
nums = []int{2, 1, 3, 5, 6, 4, 7}
head = buildList(nums)
printList(head)
head = oddEvenList(head)
printList(head)
}
输出:
1->2->3->4->5->nil
1->3->5->2->4->nil
2->1->3->5->6->4->7->nil
2->3->6->7->1->5->4->nil
382. 链表随机节点 Llinked-list Random Node
给你一个单链表,随机选择链表的一个节点,并返回相应的节点值。每个节点 被选中的概率一样 。
实现 Solution 类:
Solution(ListNode head)使用整数数组初始化对象。int getRandom()从链表中随机选择一个节点并返回该节点的值。链表中所有节点被选中的概率相等。
示例:

输入 ["Solution", "getRandom", "getRandom", "getRandom", "getRandom", "getRandom"] [[[1, 2, 3]], [], [], [], [], []] 输出 [null, 1, 3, 2, 2, 3] 解释 Solution solution = new Solution([1, 2, 3]); solution.getRandom(); // 返回 1 solution.getRandom(); // 返回 3 solution.getRandom(); // 返回 2 solution.getRandom(); // 返回 2 solution.getRandom(); // 返回 3 // getRandom() 方法应随机返回 1、2、3中的一个,每个元素被返回的概率相等。
提示:
- 链表中的节点数在范围
[1, 10^4]内 -10^4 <= Node.val <= 10^4- 至多调用
getRandom方法10^4次
进阶:
- 如果链表非常大且长度未知,该怎么处理?
- 你能否在不使用额外空间的情况下解决此问题?
代码:
package main
import (
"fmt"
"math/rand"
)
type ListNode struct {
Val int
Next *ListNode
}
type Solution struct {
head *ListNode
}
func Constructor(nums []int) Solution {
dummy := &ListNode{}
curr := dummy
for _, num := range nums {
node := &ListNode{Val: num}
curr.Next = node
curr = curr.Next
}
return Solution{head: dummy.Next}
}
func (s *Solution) GetRandom() int {
curr := s.head
count := 1
result := curr.Val
for curr != nil {
if rand.Intn(count) == 0 {
result = curr.Val
}
curr = curr.Next
count++
}
return result
}
func main() {
solution := Constructor([]int{1, 2, 3})
fmt.Println(solution.GetRandom())
fmt.Println(solution.GetRandom())
fmt.Println(solution.GetRandom())
fmt.Println(solution.GetRandom())
}
输出:
1
3
2
2
🌟 每日一练刷题专栏 🌟
✨ 持续,努力奋斗做强刷题搬运工!
👍 点赞,你的认可是我坚持的动力!
🌟 收藏,你的青睐是我努力的方向!
✎ 评论,你的意见是我进步的财富!
☸ 主页:https://hannyang.blog.youkuaiyun.com/
|
| Rust每日一练 专栏(2023.5.16~)更新中... |
|
| Golang每日一练 专栏(2023.3.11~)更新中... |
|
| Python每日一练 专栏(2023.2.18~2023.5.18)暂停更 |
|
| C/C++每日一练 专栏(2023.2.18~2023.5.18)暂停更 |
|
| Java每日一练 专栏(2023.3.11~2023.5.18)暂停更 |

文章提供了两个关于链表的问题解决方案:一是奇偶链表的重组,要求在O(1)额外空间和O(n)时间复杂度下,将链表的奇数索引和偶数索引节点分开;二是实现链表随机节点选取,保证每个节点被选中的概率相等。文章给出了对应的Go语言代码实现。





307

被折叠的 条评论
为什么被折叠?



