
目录
1. 正则表达式匹配 ★★★
1. 正则表达式匹配
给你一个字符串 s 和一个字符规律 p,请你来实现一个支持 '.' 和 '*' 的正则表达式匹配。
'.'匹配任意单个字符'*'匹配零个或多个前面的那一个元素
所谓匹配,是要涵盖 整个 字符串 s的,而不是部分字符串。
示例 1:
输入:s = "aa" p = "a" 输出:false 解释:"a" 无法匹配 "aa" 整个字符串。
示例 2:
输入:s = "aa" p = "a*" 输出:true 解释:因为 '*' 代表可以匹配零个或多个前面的那一个元素, 在这里前面的元素就是 'a'。因此,字符串 "aa" 可被视为 'a' 重复了一次。
示例 3:
输入:s = "ab" p = ".*" 输出:true 解释:".*" 表示可匹配零个或多个('*')任意字符('.')。
示例 4:
输入:s = "aab" p = "c*a*b" 输出:true 解释:因为 '*' 表示零个或多个,这里 'c' 为 0 个, 'a' 被重复一次。因此可以匹配字符串 "aab"。
示例 5:
输入:s = "mississippi" p = "mis*is*p*." 输出:false
提示:
0 <= s.length <= 200 <= p.length <= 30s可能为空,且只包含从a-z的小写字母。p可能为空,且只包含从a-z的小写字母,以及字符.和*。- 保证每次出现字符
*时,前面都匹配到有效的字符
代码:
class Solution:
def isMatch(self, s: str, p: str) -> bool:
if len(p) == 0:
return len(s) == 0
head_match = len(s) > 0 and (s[0] == p[0] or p[0] == '.')
if len(p) > 1 and p[1] == '*':
if head_match and self.isMatch(s[1:], p):
return True
return self.isMatch(s, p[2:])
else:
if not head_match:
return False
return self.isMatch(s[1:], p[1:])
if __name__ == '__main__':
sol = Solution()
s = "aa"; p = "a"
print(sol.isMatch(s,p))
s = "aa"; p = "a*"
print(sol.isMatch(s,p))
s = "ab"; p = ".*"
print(sol.isMatch(s,p))
s = "aab"; p = "c*a*b"
print(sol.isMatch(s,p))
s = "mississippi"; p = "mis*is*p*."
print(sol.isMatch(s,p))
输出:
False
True
True
True
False
2. 寻找旋转排序数组中的最小值 II
已知一个长度为 n 的数组,预先按照升序排列,经由 1 到 n 次 旋转 后,得到输入数组。例如,原数组 nums = [0,1,4,4,5,6,7] 在变化后可能得到:
- 若旋转
4次,则可以得到[4,5,6,7,0,1,4] - 若旋转
7次,则可以得到[0,1,4,4,5,6,7]
注意,数组 [a[0], a[1], a[2], ..., a[n-1]] 旋转一次 的结果为数组 [a[n-1], a[0], a[1], a[2], ..., a[n-2]] 。
给你一个可能存在 重复 元素值的数组 nums ,它原来是一个升序排列的数组,并按上述情形进行了多次旋转。请你找出并返回数组中的 最小元素 。
示例 1:
输入:nums = [1,3,5] 输出:1
示例 2:
输入:nums = [2,2,2,0,1] 输出:0
提示:
n == nums.length1 <= n <= 5000-5000 <= nums[i] <= 5000nums原来是一个升序排序的数组,并进行了1至n次旋转
进阶:
- 这道题是 寻找旋转排序数组中的最小值 的延伸题目。
- 允许重复会影响算法的时间复杂度吗?会如何影响,为什么?
代码:
class Solution:
def findMin(self, nums: list) -> int:
left = 0
right = len(nums) - 1
while left < right:
mid = left + (right - left) // 2
if nums[mid] > nums[right]:
left = mid + 1
elif nums[mid] == nums[right]:
right -= 1
else:
right = mid
return nums[left]
if __name__ == '__main__':
s = Solution()
nums = [1,3,5]
print(s.findMin(nums))
nums = [2,2,2,6,1]
print(s.findMin(nums))
输出:
1
0
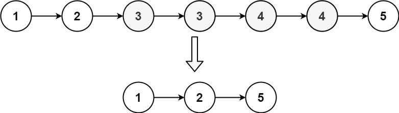
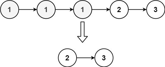
3. 删除排序链表中的重复元素 II
存在一个按升序排列的链表,给你这个链表的头节点 head ,请你删除链表中所有存在数字重复情况的节点,只保留原始链表中 没有重复出现 的数字。
返回同样按升序排列的结果链表。
示例 1:

输入:head = [1,2,3,3,4,4,5] 输出:[1,2,5]
示例 2:

输入:head = [1,1,1,2,3] 输出:[2,3]
提示:
- 链表中节点数目在范围
[0, 300]内 -100 <= Node.val <= 100- 题目数据保证链表已经按升序排列
代码:
class ListNode(object):
def __init__(self, x):
self.val = x
self.next = None
class LinkList:
def __init__(self):
self.head=None
def initList(self, data):
self.head = ListNode(data[0])
r=self.head
p = self.head
for i in data[1:]:
node = ListNode(i)
p.next = node
p = p.next
return r
def convert_list(self,head):
ret = []
if head == None:
return
node = head
while node != None:
ret.append(node.val)
node = node.next
return ret
class Solution(object):
def deleteDuplicates(self, head):
"""
:type head: ListNode
:rtype: ListNode
"""
newnodehead = None
newnode = None
node = head
while node:
lastval = node.val
if node.next and node.next.val == lastval:
while node and node.val == lastval:
node=node.next
continue
if not newnodehead:
newnode=ListNode(node.val)
newnodehead=newnode
else:
newnode.next=ListNode(node.val)
newnode=newnode.next
node = node.next
return newnodehead
if __name__ == '__main__':
s = Solution()
l = LinkList()
list1 = [1,2,3,3,4,4,5]
l1 = l.initList(list1)
print(l.convert_list(s.deleteDuplicates(l1)))
list2 = [1,1,1,2,3]
l2 = l.initList(list2)
print(l.convert_list(s.deleteDuplicates(l2)))
输出:
[1, 2, 5]
[2, 3]
🌟 每日一练刷题专栏
✨ 持续,努力奋斗做强刷题搬运工!
👍 点赞,你的认可是我坚持的动力!
★ 收藏,你的青睐是我努力的方向!
✏️ 评论,你的意见是我进步的财富!
![]() | C/C++ 每日一练 专栏 |
![]() | Python 每日一练 专栏 |

本文提供了三个编程题目,涉及正则表达式的匹配规则,寻找经过多次旋转的排序数组中的最小值,以及删除已排序链表中的重复元素。解题策略包括递归和双指针法,旨在测试和提升算法能力。


6万+

被折叠的 条评论
为什么被折叠?



