如题,直接从<cmath>扒出以下三段内容,其中第一段是筛选全部using ::开头的语句:
第一部分:
using ::acos;
using ::asin;
using ::atan;
using ::atan2;
using ::ceil;
using ::cos;
using ::cosh;
using ::exp;
using ::fabs;
using ::floor;
using ::fmod;
using ::frexp;
using ::ldexp;
using ::log;
using ::log10;
using ::modf;
using ::pow;
using ::sin;
using ::sinh;
using ::sqrt;
using ::tan;
using ::tanh;
using ::acosh;
using ::acoshf;
using ::acoshl;
using ::asinh;
using ::asinhf;
using ::asinhl;
using ::atanh;
using ::atanhf;
using ::atanhl;
using ::cbrt;
using ::cbrtf;
using ::cbrtl;
using ::copysign;
using ::copysignf;
using ::copysignl;
using ::erf;
using ::erff;
using ::erfl;
using ::erfc;
using ::erfcf;
using ::erfcl;
using ::exp2;
using ::exp2f;
using ::exp2l;
using ::expm1;
using ::expm1f;
using ::expm1l;
using ::fdim;
using ::fdimf;
using ::fdiml;
using ::fma;
using ::fmaf;
using ::fmal;
using ::fmax;
using ::fmaxf;
using ::fmaxl;
using ::fmin;
using ::fminf;
using ::fminl;
using ::hypot;
using ::hypotf;
using ::hypotl;
using ::ilogb;
using ::ilogbf;
using ::ilogbl;
using ::lgamma;
using ::lgammaf;
using ::lgammal;
using ::llrint;
using ::llrintf;
using ::llrintl;
using ::llround;
using ::llroundf;
using ::llroundl;
using ::log1p;
using ::log1pf;
using ::log1pl;
using ::log2;
using ::log2f;
using ::log2l;
using ::logb;
using ::logbf;
using ::logbl;
using ::lrint;
using ::lrintf;
using ::lrintl;
using ::lround;
using ::lroundf;
using ::lroundl;
using ::nan;
using ::nanf;
using ::nanl;
using ::nearbyint;
using ::nearbyintf;
using ::nearbyintl;
using ::nextafter;
using ::nextafterf;
using ::nextafterl;
using ::nexttoward;
using ::nexttowardf;
using ::nexttowardl;
using ::remainder;
using ::remainderf;
using ::remainderl;
using ::remquo;
using ::remquof;
using ::remquol;
using ::rint;
using ::rintf;
using ::rintl;
using ::round;
using ::roundf;
using ::roundl;
using ::scalbln;
using ::scalblnf;
using ::scalblnl;
using ::scalbn;
using ::scalbnf;
using ::scalbnl;
using ::tgamma;
using ::tgammaf;
using ::tgammal;
using ::trunc;
using ::truncf;
using ::truncl;
第二部分:
// Get rid of those macros defined in <math.h> in lieu of real functions.
#undef abs //取消旧版的宏标识符,除abs、div外与上面重复
#undef div
#undef acos
#undef asin
#undef atan
#undef atan2
#undef ceil
#undef cos
#undef cosh
#undef exp
#undef fabs
#undef floor
#undef fmod
#undef frexp
#undef ldexp
#undef log
#undef log10
#undef modf
#undef pow
#undef sin
#undef sinh
#undef sqrt
#undef tan
#undef tanhnamespace std _GLIBCXX_VISIBILITY(default)
{
_GLIBCXX_BEGIN_NAMESPACE_VERSION#ifndef __CORRECT_ISO_CPP_MATH_H_PROTO
inline _GLIBCXX_CONSTEXPR double
abs(double __x) //取消老版本后重新定义
{ return __builtin_fabs(__x); }
#endif#ifndef __CORRECT_ISO_CPP_MATH_H_PROTO
inline _GLIBCXX_CONSTEXPR float
abs(float __x)
{ return __builtin_fabsf(__x); }inline _GLIBCXX_CONSTEXPR long double
abs(long double __x)
{ return __builtin_fabsl(__x); }
#endif此处略。。。
_GLIBCXX_END_NAMESPACE_VERSION
} // namespace
第三部分:
#undef fpclassify //取消旧版的宏标识符
#undef isfinite
#undef isinf
#undef isnan
#undef isnormal
#undef signbit
#undef isgreater
#undef isgreaterequal
#undef isless
#undef islessequal
#undef islessgreater
#undef isunorderednamespace std _GLIBCXX_VISIBILITY(default)
{
_GLIBCXX_BEGIN_NAMESPACE_VERSION#if __cplusplus >= 201103L
constexpr int
fpclassify(float __x) //取消老版本后重新定义
{ return __builtin_fpclassify(FP_NAN, FP_INFINITE, FP_NORMAL,
FP_SUBNORMAL, FP_ZERO, __x); }此处略。。。
_GLIBCXX_END_NAMESPACE_VERSION
} // namespace
还有一段代码中的函数与第一部分全部重复,略。
就这样子总共抓取到141个数学库函数,估计这才是《数学标准库函数大全》完整版 ^_^
当然标准库还有像 __builtin_fabs(x)、 __builtin_fabsf(x)、 __builtin_fabsl(x) 超多的这种内建函数其实也能被调用,只是比较难记函数名称:
float x = -1.23;
cout<< __builtin_fabs(x) << endl; // 输出: 1.23
《数学标准库函数大全》完整版
| 序号 | 函数 | 功能 | 用法说明 |
| 1 | abs | 绝对值 | // y = |x| |
| 2 | acos | 反余弦 | // y = arccos(x) |
| 3 | acosh | 反双曲余弦 | // y=arcosh(x)=ln[x+sqrt(x^2-1)] // 双曲余弦 y=cosh(x)=[e^x + e^(-x)]/2 的反函数 |
| 4 | acoshf | 函数带下划线都同上 仅形参不同以下略过 | |
| 5 | acoshl | (略过) | |
| 6 | asin | 反正弦 | // y = arcsin(x) |
| 7 | asinh | 反双曲正弦 | // y=arsinh(x)=ln[x+sqrt(x^2+1)] // 双曲正弦 y=sinh(x)=[e^x - e^(-x)]/2 的反函数 |
| 8 | asinhf | (略过) | |
| 9 | asinhl | (略过) | |
| 10 | atan | 反正切 | // y = arctan(x) |
| 11 | atan2 | 坐标法反正切 | // f(x,y)=atan2(y,x) 返回坐标轴上点(x,y)到(0,0)的连线与x轴的夹角,允许x=y=0(f = 0 ) // 类似于 atan(y/x) ,但 atan(y/x) 可以x=0,y<>0 即atan(inf)=π/2,但不允许x=y=0 // 所有反三角函数返回值可以转角度数 = 弧度 * 180 / M_PI (<--#define _USE_MATH_DEFINES) |
| 12 | atanh | 反双曲正切 | // y=artanh(x)=(1/2)*ln[(1+x)/(1-x)] // 双曲正切 y=tanh(x)=[e^x - e^(-x)]/[e^x + e^(-x)] 的反函数 |
| 13 | atanhf | (略过) | |
| 14 | atanhl | (略过) | |
| 15 | cbrt | 立方根 | // y = ³√x |
| 16 | cbrtf | (略过) | |
| 17 | cbrtl | (略过) | |
| 18 | ceil | 右向取整 | // ceil(x) 取不小于x的最小整数 |
| 19 | copysign | 复制正负号 | // copysign(a, b) = |a*b| / b // 复制a的绝对值和b的正负,a和b值不变 |
| 20 | copysignf | (略过) | |
| 21 | copysignl | (略过) | |
| 22 | cos | 余弦 | // y=cos(x) |
| 23 | cosh | 双曲余弦 | // y=cosh(x)=[e^x + e^(-x)] / 2 |
| 24 | div | 整除函数 | div_t qr = div(10, 3); // 要记住结构体及成员变量的名称 cout << qr.quot <<endl; // 商 = 3 cout << qr.rem <<endl; // 余数 = 1 |
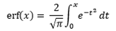
| 25 | erf | 误差函数 | ![]() // 高斯误差函数, erf(x) = 1-erfc(x) 余差函数的补函数 // erf 函数返回一个介于 -1.0 到 1.0 之间的值 // M_2_SQRTPI (<--#define _USE_MATH_DEFINES) |
| 26 | erff | (略过) | |
| 27 | erfl | (略过) | |
| 28 | erfc | 余差函数 | // 补余高斯误差函数, erfc(x) = 1-erf(x) 误差函数的补函数 // erfc 函数返回一个介于 0.0 到 2.0 之间的值 |
| 29 | erfcf | (略过) | |
| 30 | erfcl | (略过) | |
| 31 | exp | 指数函数 e为底 | // y = e^x |
| 32 | exp2 | 指数函数 2为底 | // y = 2^x |
| 33 | exp2f | (略过) | |
| 34 | exp2l | (略过) | |
| 35 | expm1 | 指数函数 e为底, 指数-1 | // y = e^(x-1) |
| 36 | expm1f | (略过) | |
| 37 | expm1l | (略过) | |
| 38 | fabs | 浮点数绝对值 | // y = |a|,类似于 abs() |
| 39 | fdim | 求正差 | // f(x,y)=fdim(x,y) = x>y ? x-y : 0; // 求两数的差,若是负数置为0 |
| 40 | fdimf | (略过) | |
| 41 | fdiml | (略过) | |
| 42 | floor | 左向取整 | // floor(x) 取不大于x的最大整数 |
| 43 | fma | 积和函数 | // fma(a,b,c) = a * b + c |
| 44 | fmaf | (略过) | |
| 45 | fmal | (略过) | |
| 46 | fmax | 最大值 | // f(x,y)=fmax(x,y) = x>y?x:y |
| 47 | fmaxf | (略过) | |
| 48 | fmaxl | (略过) | |
| 49 | fmin | 最小值 | // f(x,y)=fmin(x,y) = x<y?x:y |
| 50 | fminf | (略过) | |
| 51 | fminl | (略过) | |
| 52 | fmod | 求浮点数的余数 | // f(x,y)=fmod(x,y) // 求x除以y的余数,相当于整数的 x%y |
| 53 | fpclassify | 判断数字类型 | switch(fpclassify(x)) { case FP_INFINITE: return "Inf"; case FP_NAN: return "NaN"; case FP_NORMAL: return "normal"; case FP_SUBNORMAL: return "subnormal"; case FP_ZERO: return "zero"; default: return "unknown"; } |
| 54 | frexp | 求浮点数的尾数 | double frexp( double x, int *expptr ); int n; double y, num = -6133.23; // 转成一个基底数为2的科学记数法 y = frexp(num, &n); // 指数部分返回一个指针,用&取址读取 cout << num << " = " << y << " * 2 ^ " << n <<endl; |
| 55 | hypot | 求斜边长 | // f(x,y)=hypot(x,y) = sqrt(x²+y²) // 或有参数inf,函数值也返回inf |
| 56 | hypotf | (略过) | |
| 57 | hypotl | (略过) | |
| 58 | ilogb | 特殊的对数函数 | 类似于 logb() |
| 59 | ilogbf | (略过) | |
| 60 | ilogbl | (略过) | |
| 61 | isfinite | 判断INF和NaN | // isfinite( INFINITY ) = true , isfinite( NAN ) = true // INFINITY为无穷常量,cout输出inf, 如 1/0、 pow(2,1024) // NAN为非数常量,cout输出nan,如sqrt(-1)、pow(-1,1.1) |
| 62 | isgreater | 判断大小 > | // f(x,y)=isgreater(x,y) = x>y?true:false |
| 63 | isgreaterequal | 判断大小 ≥ | // f(x,y)=isgreaterequal(x,y) = x>=y?true:false |
| 64 | isinf | 判断INF | // isinf( INFINITY ) = ture // 参见isfinite |
| 65 | isless | 判断大小 < | // f(x,y)=isless(x,y) = x<y?true:false |
| 66 | islessequal | 判断大小 ≤ | // f(x,y)=islessequal(x,y) = x<=y?true:false |
| 67 | islessgreater | 判断大小 ≠ | // f(x,y)=islessgreater(x,y) = x<>y?true:false |
| 68 | isnan | 判断NaN | // isnan( NAN ) = ture // 参见isfinite |
| 69 | isnormal | 判断是否正常 | // y=isnormal(x) = fpclassify(x)==FP_NORMAL ? true : false // 详见fpclassify |
| 70 | isunordered | 判断是否有序 | // isunordered(NAN, 1) // 两个参数只要有一个为NAN就返回true |
| 71 | ldexp | 倍幂函数 | // y=ldexp(x, n) = x * 2^n // 与 x=frexp(y,n) 相反 |
| 72 | lgamma | log伽玛函数 | // y=ln[tgamma(x)] // 伽玛函数值的自然对数,参见tgamma |
| 73 | lgammaf | (略过) | |
| 74 | lgammal | (略过) | |
| 75 | llrint | 取整函数 | 返回long long int类型,类似rint(x) |
| 76 | llrintf | (略过) | |
| 77 | llrintl | (略过) | |
| 78 | llround | 取整函数 | 返回long long int类型,类似round(x) |
| 79 | llroundf | (略过) | |
| 80 | llroundl | (略过) | |
| 81 | log | 对数函数 e为底 | // y=ln(x) |
| 82 | log10 | 对数函数 10为底 | // y=log10(x) |
| 83 | log1p | 对数函数 e为底, 真数+1 | // y=ln(x+1) |
| 84 | log1pf | (略过) | |
| 85 | log1pl | (略过) | |
| 86 | log2 | 对数函数 2为底 | // y=log2(x) |
| 87 | log2f | (略过) | |
| 88 | log2l | (略过) | |
| 89 | logb | 特殊的对数函数 | // y=trunc(log2(|x|) // 以2为底、参数的绝对值为真数的对数的整数部分 |
| 90 | logbf | (略过) | |
| 91 | logbl | (略过) | |
| 92 | lrint | 取整函数 | 返回long int类型,类似rint(x) |
| 93 | lrintf | (略过) | |
| 94 | lrintl | (略过) | |
| 95 | lround | 取整函数 | 返回long int类型,类似round(x) |
| 96 | lroundf | (略过) | |
| 97 | lroundl | (略过) | |
| 98 | modf | 返回小数部分 | y = modf(num, &iX); //整数部分返回一个指针,用&取址读取 cout << num << " => " << iX << " & " << y <<endl;// -3.23 => -3 & -0.23 |
| 99 | nan | 返回字串的NaN值 | double nan (const char* arg); // nan("") = nan |
| 100 | nanf | (略过) | |
| 101 | nanl | (略过) | |
| 102 | nearbyint | 取整函数 | // 使用当前的舍入方法,将给定值舍入为附近的整数值 // 由 fesetround(mode) 指定当前的舍入方法,头文件 <cfenv> // mode = 0|1024|2048|3072 相当于 round() ceil() floor() trunc() |
| 103 | nearbyintf | (略过) | |
| 104 | nearbyintl | (略过) | |
| 105 | nextafter | 返回在y方向上x之后的下一个可表示值 | // 类似nexttoward,有点复杂和啰嗦不用也罢,两者的区别直接抄原文: // The similar function, nexttoward has the same behavior, // but it takes a long double as second argument. // first representable value greater than zero: nextafter(0.0,1.0)=4.940656e-324 // first representable value less than zero: nextafter(0.0,-1.0)=-4.940656e-324 |
| 106 | nextafterf | (略过) | |
| 107 | nextafterl | (略过) | |
| 108 | nexttoward | 返回在y方向上x之后的下一个可表示值 参见 nextafter | // 类似nextafter,有点复杂和啰嗦不用也罢,两者的区别直接抄原文: // This function behaves as nextafter, but with a potentially more precise y. // first representable value greater than zero: nexttoward(0.0,1.0L)=4.940656e-324 // first representable value less than zero: nexttoward(0.0,-1.0L)=-4.940656e-324 |
| 109 | nexttowardf | (略过) | |
| 110 | nexttowardl | (略过) | |
| 111 | pow | 幂指函数 | // pow(x,y) = x ^ y |
| 112 | remainder | 浮点余数 | // 函数remainder(x, y) 返回x/y的浮点余数(四舍五入到最接近的值) // remainder(7.5/2.1) = -0.9 remainder(-17.5/2) = 0.5 remainder(-17.5/0) = -nan |
| 113 | remainderf | (略过) | |
| 114 | remainderl | (略过) | |
| 115 | remquo | 浮点余数及商 | // 函数remquo(x, y, int* p)函数计算x/y的浮点余数,商存储到指针p // int q; double ret = remquo(5.5, 2.2, &q); => 商q=2,余数ret=1.1 // ret = remquo(5.7, 2.2, &q); => 商q=3,余数ret=-0.9 // ret = remquo(-5.5, 0, &q); => 商q=0,余数ret=-nan |
| 116 | remquof | (略过) | |
| 117 | remquol | (略过) | |
| 118 | rint | 取整函数 | double rint (double x); //或者 float \ long double double rint (T x); // T为整型 int \ long int \ ... 如果返回的值与x的值不同,则此函数可能会引发一个FE_INEXACT不精确异常 用法请参见nearbyint(),nearbyint是不引发此类异常的等效函数 |
| 119 | rintf | (略过) | |
| 120 | rintl | (略过) | |
| 121 | round | 取整函数 | // round(x) 取最接近x的整数,即四舍五入取值 // round(-3.56) = floor(-3.56+0.5) = -4 |
| 122 | roundf | (略过) | |
| 123 | roundl | (略过) | |
| 124 | scalbln | 倍幂函数 | // 类似scalbn(x, n),参数n为长整型 |
| 125 | scalblnf | (略过) | |
| 126 | scalblnl | (略过) | |
| 127 | scalbn | 倍幂函数 | // 基数FLT_RADIX(默认为2)的科学记数法,参见frexp() ldexp() // y=scalbln(x, n) = x * pow(2, n) // scalbln(1.0001,10) = 1024.1024 |
| 128 | scalbnf | (略过) | |
| 129 | scalbnl | (略过) | |
| 130 | signbit | 判断是否负数 | // y=signbit(x) = x<0 ? 1 : 0 |
| 131 | sin | 正弦 | // y=sin(x) |
| 132 | sinh | 双曲正弦 | // y=sinh(x) = [e^x - e^(-x)] / 2 |
| 133 | sqrt | 算术平方根 | // y=√x |
| 134 | tan | 正切 | // y=tan(x) |
| 135 | tanh | 双曲正切 | // y=tanh(x) = [e^x - e^(-x)] / [e^x + e^(-x)] |
| 136 | tgamma | 伽马函数 |
// <cmath> 仅提供实数域上的公式,它的另一种写法: ![]() // 递归性质: tgamma(x+1) = x * tgamma(x),x为正整数时就是阶乘函数 |
| 137 | tgammaf | (略过) | |
| 138 | tgammal | (略过) | |
| 139 | trunc | 零向取整 | // trunc(x) 取靠向0且最靠近x的整数,即不管正负舍弃小数部分即可 |
| 140 | truncf | (略过) | |
| 141 | truncl | (略过) |
发现2个很有用的判断函数isnan()、isinf(),先测试一下:
#include <iostream>
#include <cmath>
using namespace std;
int main()
{
double a = -2;
double b = 1.1;
double c = 1024;
cout << pow(a,b) << endl;
cout << isnan(pow(a,b))<<endl;
cout << pow(-a,b) << endl;
cout << isnan(pow(-a,b))<<endl<<endl;
cout << pow(a,c) << endl;
cout << isinf(pow(a,c))<<endl;
cout << pow(a,c-1) << endl;
cout << isinf(pow(a,c-1))<<endl;
return 0;
}
/*
nan
1
2.14355
0
inf
1
-8.98847e+307
0
--------------------------------
Process exited after 0.8773 seconds with return value 0
请按任意键继续. . .
*/
先到此结束吧,这么多函数还有很多都是生面孔,待以后慢慢梳理......
博客从<cmath>中扒出三段内容,筛选出using ::开头的语句,取消旧版宏标识符并重新定义部分函数,共抓取到141个数学库函数,认为这是《数学标准库函数大全》完整版。还提到标准库有很多内建函数,以及两个有用的判断函数isnan()、isinf()。



2322

被折叠的 条评论
为什么被折叠?



