推荐观看视频教程
一、图的连通性
1. 无向图的连通性
在无向图G=(V,E)中:
①连通:若节点u和v能够互相到达,则称u,v是连通的;
②连通图:若图中任何节点之间都是可互相到达的,则称G是连通图,否则称G是非连通图;
这是一个连通图
这不是一个连通图,
③连通分量(连通分支):我们可以看出上面右图有两个部分连通的图,叫做连通分量(或连通分支)
④无向图的连通性判定:并查集、DFS、BFS、WARSHALL 算法;
⑤非连通的无向图求连通分量:可通过额外设置计数器count(初始值0)统计出图的连通分量,每调用dfs(或bfs)遍历一次,计数器count增1。当遍历完无向图时,若count=1,则图连通,若count>1,图非连通,count的值就是该图的连通分量数。
需要注意的是,连通分量的提出是以"整个无向图不是连通图"为前提的,因为如果无向图是连通图,则其无法分解出多个最大连通子图,因为图中所有的顶点之间都是连通的。
2.有向图的连通性
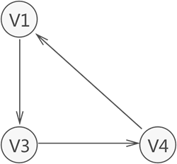
①强连通:在有向图中,若节点 u 和节点 v 能互相到达(不必是同一路径),则称 u,v 强连通;
节点1可以通过(1,2,3)到达3,节点3可以通过(3,4,1)到达1,所以3和1是强连通;
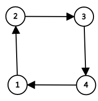
②强连通图:在有向图 G=(V,E) 中,若对于V 中任意两个不同的顶点 u 和 v,都存在从 u 到 v 以及从 v 到 u 的路径,则称 G是强连通图。
这是一个强连通图
③强连通分量SCC(strongly connected components):非强连通图的极大强连通子图,称为强连通分量。强连通图只有一个强连通分量,即是其自身;非强连通的有向图有多个强连分量。
这个有向图中有两个强连通分量(2,3,1)和(7,6,4,5)。
小提示:“连通图” 是在无向图 的基础上对图中顶点之间的连通做了更高的要求,而“强连通图” 是在有向图 的基础上对图中顶点的连通做了更高的要求。
④有向图的连通性判定算法:
方法一:可以调用DFS搜索 V 次,V是顶点的个数,就是对每个顶点都做一次DFS搜索,判断是否可达。这样的复杂度为O(V*(V+E))。
方法二:可以参考求解连通分量的算法Tarjan算法,我们可以在O(V+E) 的时间内找到所有的连通分量,如果连通分量的个数为1,则说明该图是强连通的。
⑤有向图求强连通分量算法:Kosaraju 算法和Tarjan算法
二、Tarjan算法
Tarjan(音译为塔扬)算法的核心其实是dfs,主要是通过维护两个数组来完成强连通分量的计算:
dfn[]数组:负责记录每个节点的dfs顺序(简称为dfs序)。
low[]数组:负责记录从每个节点的出发沿可行边所能到达的点中dfs序号最小的序号。
第一个数组好理解:
对于下面左图的有向图进行dfs,并产生dfs序应该是右边的结果

第二个数组费解一点:
P2863 [USACO06JAN]牛的舞会
//P2863 [USACO06JAN]牛的舞会The Cow Prom
#include <cstdio>
#include <stack>
using namespace std;
const int maxn=10005;
const int maxm=50005;
struct Edge{
int v,w,nxt;
}edge[maxm];
int n,m,cnt=1,head[maxn],instack[maxn];
int scctot;
int index;
int dfn[maxn];///节点的dfs序
int low[maxn];///dfs时,节点能到达的最小dfs序
int scc[maxn];///每个节点所属的强连通分量
int num[maxn];///记录每个强连通分量中节点个数
stack<int>s;
inline void adedge(int u,int v,int w)
{
edge[++cnt].v=v,edge[cnt].w=w,edge[cnt].nxt=head[u],head[u]=cnt;
}
void tarjan(int u)
{
if (dfn[u])return;
index++;
dfn[u]=low[u]=index;
instack[u]=1;
s.push(u);
for (int i=head[u];i;i=edge[i].nxt)
{
int v=edge[i].v;
if (!dfn[v])///如果没有dfs过,则继续深搜
{
tarjan(v);
low[u]=min(low[u],low[v]);
///dfs返回后更新当前节点的low值等于当前节点能到达的节点中low值最小的low值
}
if (instack[v])
///如果v的dfs序已存在,说明从节点u可以回到dfs序更小的节点,或者说已形成了一个环
{
low[u]=min(low[u],dfn[v]);
///当前节点u的low值应该等于当前节点能到达的节点中low值最小的low值
}
}
if (dfn[u]==low[u])///找到一个强连通分量
{
scctot++;///强连通分量个数加1
while(1)
{
int t=s.top();
scc[t]=scctot;
num[scctot]++;
instack[t]=0;
s.pop();
if (t==u)break;
}
}
}
int main()
{
scanf("%d %d",&n,&m);
for (int i=1,u,v;i<=m;++i)
{
scanf("%d %d",&u,&v);
adedge(u,v,1);
}
for (int i=1;i<=n;++i)
{
if (!scc[i])tarjan(i);///如果有节点没有生成所属强连通分量值
//if (!dfn[i])tarjan(i);///如果有节点没有dfs访问到
}
int ans=0;
for (int i=1;i<=scctot;++i)///统计节点个数大于1的强连通分量的个数
{
if (num[i]>1)ans++;
}
printf("%d",ans);
return 0;
}
三、 点集和割集
对于图的连通性而言,不同节点或边的“重要性”是不同的,比如在通信网络中,有的节点或边出现中断,会对整个连通性的影响到头重要,而有的则不影响全局。另外,也存在一部分节点联合起来,从而对于整个图的连通性起关键作用。
一句话:点集和割集主要是为了研究,一些点的存在或者删除后对整个图的连通性影响。
本文深入探讨了无向图与有向图的连通性概念,包括连通图、非连通图、连通分量、强连通图、强连通分量等,同时介绍了判定连通性的算法如DFS、BFS、WARSHALL算法及求解强连通分量的Tarjan算法和Kosaraju算法。
2172

被折叠的 条评论
为什么被折叠?



