文章目录
- 前言
- 一、Differentiation 微分
- 二、Polynomial Differentiation 多项式微分
- 三、Representing Polynomials in MATLAB
- 四、Values of Polynomials: polyval()
- 五、Polynomial Differentiation 多项式微分: polyder()
- 六、Exercise
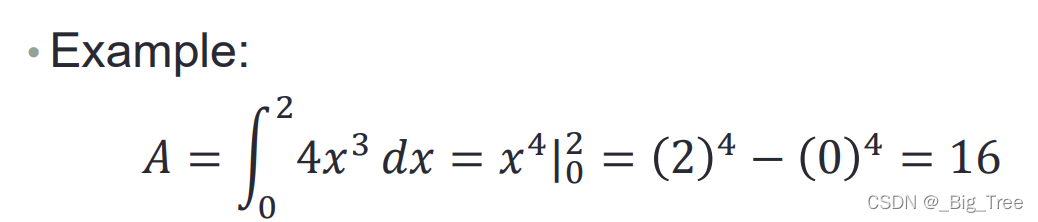
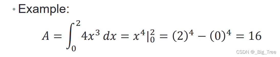
- 七、Polynomial Integration 多项式积分
- 八、Polynomial Integration: polyint()
- 九、Numerical Differentiation 数值微分
- 十、Differences: diff()
- Exercise
- 十一、Numerical Differentiation Using diff()
- Exercise
- 十二、How to Find the 𝑓′ over An Interval [0,2𝜋]?
- 十三、Find sin′(𝑥) over 𝑥 = [0, 2𝜋]
- 十四、Various Step Size
- Exercise
- 十五、Second and Third Derivatives
- 十六、Numerical Integration 数值积分
- 十七、Numerical Quadrature Rules 数值求积规则
- 十八、Midpoint Rule
- 十九、Midpoint Rule Using sum()
- 二十、Trapezoid Rule
- 二十一、Trapezoid Rule Using trapz()
- 二十二、Second-order Rule: 1/3 Simpson’s
- 二十三、Simpson’s Rule
- 二十四、Comparison
- 二十五、Review of Function Handles (@)
- 二十六、Function Handles (@) Example
- 二十七、Numerical Integration: integral()
- 二十八、Double and Triple Integrals
- 总结
前言
b站课程《MATLAB教程_台大郭彦甫(14课)》学习记录
一、Differentiation 微分

二、Polynomial Differentiation 多项式微分

三、Representing Polynomials in MATLAB
Polynomials were represented as row vectors 多项式用行向量表示
For example, consider the equation

To enter this polynomial into MATLAB, use
p = [1 0 -2 -5];
四、Values of Polynomials: polyval()

a = [9,-5,3,7]; x = -2:0.01:5;
f = polyval(a,x);
plot(x,f,'LineWidth', 2);
xlabel('x'); ylabel('f(x)');
set(gca, 'FontSize', 14)

五、Polynomial Differentiation 多项式微分: polyder()

>> p=[5 0 -2 0 1];
polyder(p)
ans =
20 0 -4 0
polyval(polyder(p),7)
ans =
6832
六、Exercise

conv(): 多项式相乘
a = [20 -7 5 10];
b = [4 12 -3];
t = conv(a,b);
hold on;
x = -2:0.01:1;
plot(x,polyval(t,x),'--b');
plot(x,polyval(polyder(t),x),'-r');
hold off;
xlabel('x');
legend('f(x)','f`(x)');
set(gca,'XLim',[-2,1]);
set(gca,'YLim',[-800,800]);
七、Polynomial Integration 多项式积分

八、Polynomial Integration: polyint()

我们要给MATLAB提供一个常量3,作为C的值
>> p=[5 0 -2 0 1];
polyint(p, 3)
ans =
1.0000 0 -0.6667 0 1.0000 3.0000
polyval(polyint(p, 3),7)
ans =
1.6588e+04
九、Numerical Differentiation 数值微分

十、Differences: diff()
diff()计算vector中相邻元素之间的差值
>> x = [1 2 5 2 1];
diff(x)
ans =
1 3 -3 -1
Exercise
obtain the slope(斜率) of a line between 2 points (1,5) and (2,7)

>> x = [1 2]; y = [5 7];
slope = diff(y)./diff(x)
slope =
2
十一、Numerical Differentiation Using diff()

>> x0 = pi/2; h = 0.1;
x = [x0 x0+h];
y = [sin(x0) sin(x0+h)];
m = diff(y)./diff(x)
m =
-0.0500
How does ℎ affect accuracy?
h越小越准确
Exercise

x0 = pi/2; h = 0.1;
while h>0.0000001
x = [x0 x0+h];
y = [sin(x0) sin(x0+h)];
m = diff(y)./diff(x);
h = h/10;
m
end
m =
0
m =
-0.0500
m =
-0.0050
m =
-5.0000e-04
m =
-5.0000e-05
m =
-5.0000e-06
m =
-5.0004e-07
m =
-4.9960e-08
十二、How to Find the 𝑓′ over An Interval [0,2𝜋]?

十三、Find sin′(𝑥) over 𝑥 = [0, 2𝜋]
h = 0.5; x = 0:h:2*pi;
y = sin(x); m = diff(y)./diff(x);

十四、Various Step Size
The derivatives of 𝑓(𝑥) = sin(𝑥) calculated using various ℎ values
g = colormap(lines); hold on;
for i=1:4
x = 0:power(10, -i):pi;
y = sin(x); m = diff(y)./diff(x);
plot(x(1:end-1), m, 'Color', g(i,:));
end
hold off;
set(gca, 'XLim', [0, pi/2]); set(gca, 'YLim', [0, 1.2]);
set(gca, 'FontSize', 18);
%set(gca, 'FontName', 'symbol');
set(gca, 'XTick', 0: pi/4: pi/2);
set(gca, 'XTickLabel', {'0', '\pi/4', '\pi/2'});
h = legend('h=0.1','h=0.01','h=0.001','h=0.0001');
set(h,'FontName', 'Times New Roman'); box on;

Exercise
Given 𝑓(𝑥) = 𝑒 −𝑥 sin(𝑥 2/2), plot the approximate derivatives 𝑓′ of ℎ = 0.1, 0.01, and 0.001
g = colormap(lines); hold on;
for i=1:3
x = 0:power(10, -i):2*pi;
y = exp(-x).*sin((x.^2)/2); m = diff(y)./diff(x);
plot(x(1:end-1), m, 'Color', g(i,:));
end
hold off;
set(gca, 'XLim', [0, 2*pi]); set(gca, 'YLim', [-0.3, 0.3]);
set(gca, 'FontSize', 18);
set(gca, 'XTick', 0: pi/2: 2*pi);
set(gca, 'XTickLabel', {'0', '\pi/2', '\pi', '3\pi/2', '2\pi'});
h = legend('h=0.1','h=0.01','h=0.001');
set(h,'FontName', 'Times New Roman'); box on;

十五、Second and Third Derivatives

x = -2:0.005:2; y = x.^3;
m = diff(y)./diff(x);
m2 = diff(m)./diff(x(1:end-1));
plot(x,y,x(1:end-1),m,x(1:end-2),m2);
xlabel('x', 'FontSize', 18);
ylabel('y', 'FontSize', 18);
legend({'f(x) = x^3','f`(x)','f``(x)'});
set(gca, 'FontSize', 18);

十六、Numerical Integration 数值积分

十七、Numerical Quadrature Rules 数值求积规则

十八、Midpoint Rule

十九、Midpoint Rule Using sum()

x(1:end-1) = [x1 x2 x3 x4 … xend-1]
x(2:end) = [x2 x3 x4 x5 … xend]
>> h = 0.05; x = 0:h:2;
midpoint = (x(1:end-1)+x(2:end))./2;
y = 4*midpoint.^3;
s = sum(h*y)
s =
15.9950
二十、Trapezoid Rule

二十一、Trapezoid Rule Using trapz()

>> h = 0.05; x = 0:h:2;
midpoint = (x(1:end-1)+x(2:end))./2;
y = 4*midpoint.^3;
s = sum(h*y)
s =
15.9950
Alternative:
>> h = 0.05; x = 0:h:2; y = 4*x.^3;
trapezoid = (y(1:end-1)+y(2:end))/2;
s = h*sum(trapezoid)
s =
16.0100
二十二、Second-order Rule: 1/3 Simpson’s

二十三、Simpson’s Rule

>> h = 0.05; x = 0:h:2; y = 4*x.^3;
s = h/3*(y(1)+2*sum(y(3:2:end-2))+...
4*sum(y(2:2:end))+y(end))
s =
16
二十四、Comparison

二十五、Review of Function Handles (@)
相当于嵌套函数
A handle is “a pointer to a function”
Can be used to pass functions to other functions
Example:
Pass a function f(x)=sin(x)
to a user-defined function: g(f,…)
f=sin(x)
g(@f,…)
二十六、Function Handles (@) Example
The input of the following function xy_plot is a math function:
function [y] = xy_plot(input,x)
% xy_plot receives the handle of a function
% and plots that function of x
y = input(x); plot(x,y,'r--');
xlabel('x'); ylabel('function(x)');
end
Try:
xy_plot(@sin,0:0.01:2*pi);

xy_plot(@cos,0:0.01:2*pi);

xy_plot(@exp,0:0.01:2*pi);

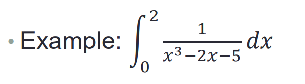
二十七、Numerical Integration: integral()
Numerical integration on a function from using global adaptive quadrature and default error tolerances
利用全局自适应正交和默认容错对函数进行数值积分

>> y = @(x) 1./(x.^3-2*x-5);
integral(y,0,2)
ans =
-0.4605
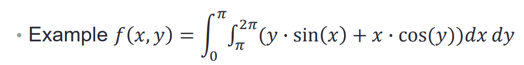
二十八、Double and Triple Integrals

>> f = @(x,y) y.*sin(x)+x.*cos(y);
integral2(f,pi,2*pi,0,pi)
ans =
-9.8696

>> f = @(x,y,z) y.*sin(x)+z.*cos(y);
integral3(f,0,pi,0,1,-1,1)
ans =
2.0000
总结
继续加油吧。
1713

被折叠的 条评论
为什么被折叠?



