题目:
给你一个链表,删除链表的倒数第
n个结点,并且返回链表的头结点。示例 1:
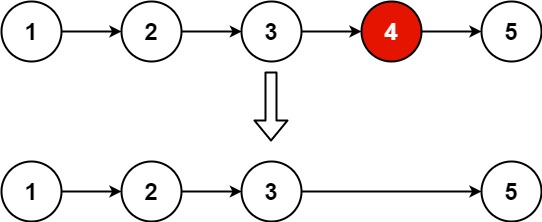
输入:head = [1,2,3,4,5], n = 2 输出:[1,2,3,5]示例 2:
输入:head = [1], n = 1 输出:[]示例 3:
输入:head = [1,2], n = 1 输出:[1]提示:
- 链表中结点的数目为
sz1 <= sz <= 300 <= Node.val <= 1001 <= n <= sz进阶:你能尝试使用一趟扫描实现吗?
代码:
/**
* Definition for singly-linked list.
* struct ListNode {
* int val;
* struct ListNode *next;
* };
*/
struct ListNode* removeNthFromEnd(struct ListNode* head, int n) {
struct ListNode *pTemp=malloc(sizeof(struct ListNode));
pTemp->val=0;
pTemp->next = head;
struct ListNode *pFast=head,*pSlow=pTemp;
while(n!=0){
n--;
pFast=pFast->next;
}
while(pFast){
pFast=pFast->next;
pSlow=pSlow->next;
}
pSlow->next=pSlow->next->next;
struct ListNode *p = pTemp->next;
free(pTemp);
return p;
}
没什么意外,双指针类型的题,掌握规律不要漏掉细节就OK啦
文章介绍了如何使用双指针方法解决链表问题,即在链表中删除倒数第n个节点,同时给出了相应的C语言代码实现。

1233

被折叠的 条评论
为什么被折叠?



