今天为大家分享一个java web编写的糖果购物系统,目前系统功能已经完善,后续会进一步完善。整个系统界面漂亮,有完整得源码,希望大家可以喜欢。喜欢的帮忙点赞和关注。一起编程、一起进步。
开发环境
开发语言为Java,开发环境Eclipse或者IDEA都可以。数据库采用:MySQL。
本项目是基于MVC的JSP技术进行的Web应用程序开发,其中
JSP技术为表示层,包括EL表达式、JSP动作、JSTL标准标签技术
Servlet为控制层技术
JavaBean为开发模型层
采用MVC设计模式对各个模块进行开发
数据库采用mysql数据库
采用Tomcat作为Web服务器
火狐浏览器,360浏览器,Chrome浏览器,IE浏览器做为本次程序的运行浏览器
系统框架
利用SP+JAVABEAN+SERVLET框架开发。MySQL数据库,简单web模式,启动tomcat后,在浏览器中输入http://127.0.0.1:8080/tangguo
主要模块
1 开发背景
网上商城具有以下几个非常明显的优势:
1.投资少,回收快。一项针对中国中小企业的情况调查显示,个人在网下启动销售公司的平均费用至少5万元,而网上开店建店成本非常小。一般说,筹办一家网上的商店投入很小,不用去办营业执照,不用去租门面,不用囤积货品,所需资金不过1500元左右;网上商店比同等规模的地面商店“租金”要低得多,同时租金不会因为营业面积的增加而增加,投资者也不用为延长营业时间而增加额外的费用。
2.24小时营业时间。网上商店延长了商店的营业时间,一天24小时、一年365天不停地运作,无须专人值班看店,都可照常营业。传统店铺的营业时间一般为8-12小时,遇上坏天气或者老板、店员有急事也不得不暂时休息。
3.不受店面空间的限制。哪怕只是街边小店,在网上却可以拥有百货大楼那么大的店面,只要投资者愿意,可以摆上成千上万种商品。目前国内最大的专业拍卖网站同时在线的商品要超过10万件,已超过一些大超市。
4.不受地理位置影响。不管客户离店有多远,也不管顾客是国内还是国外,在网上,客户一样可以很方 便地找到并购买商品。这令消费群体突破了地域的限制,变得无限广阔了
2 需求分析
根据充分的需求调研,得出系统分为前台和后台,其中
1 前台的主要功能
(1)商品浏览查询:商品的预览查询、搜索或查看商品的信息。
(2)购物车管理:查看购物车,将商品(食品)添加到购物车,对购物车中的菜品进行添加、删除或修改。
(3)订单管理:生成订单,查看订单信息,修改订单信息,取消订单。
(4)售后评论(留言板)
2 后台功能
(1)账号管理:用户、管理员增加、修改、删除。
(2)订单管理:查询订单(已完成订单、申请退点的订单、等待付款的订单、被取消订单、已发货订单),订单的发货处理。
(3)商品管理:新商品(食品)的添加,已有商品(食品)的删除,商品(食品)信息修改,商品(食品)种类的添加、删除、修改
3 数据库设计
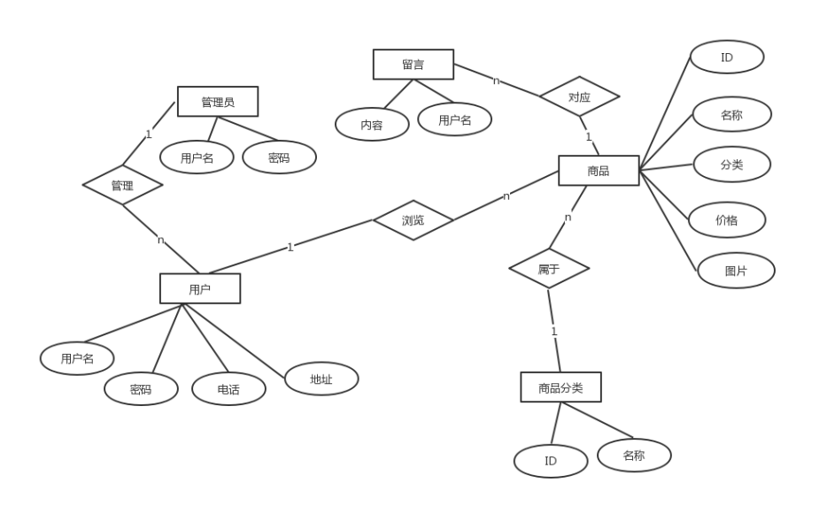
系统主要涉及到用户表,管理员表,动态表,商品分类表,商品详情表,订单表,订单明细表,评价表
4 详细设计
根据网上购物的业务流程,整个系统可以分成前台部分和后台管理员部分。前台部分主要是给用户使用,用户在前台浏览糖果信息,对赶兴趣的糖果加入到购物车中,然后进行购买,购买成功后可以查看到自己的订单信息。当然用户也可以在前台进行搜索自己的糖果。系统管理员主要是对系统的基础性数据数据进行维护,包括用户管理(增删改查),分类管理(增删改查),商品管理(增删改查),订单管理(增删改查),留言管理(留言回复).系统管理员通过后台界面进行数据的维护。
实现效果
1 用户登录
用户输入用户和密码,如用户名和密码正确,则提示登录成功,调整到主界面;否则提示用户名或者密码错,跳转到登录界面,如图5.1所示。
2 用户注册
用户要在系统中进行购物,需要先在系统中注册,成为系统的一个用户。注|册需要输入用户名,密码,邮箱,电话,地址等信息
3 购物车功能
选择一个商品加入到购物车的时候,先判断session对象中cart是否为空,如果为空 则cart=new vector().
4 我的订单
用户点击首页导航栏上的我的订单,可以看到我我的订单信息。订单信息包括订单编号,订单日期,订单总金额,订单状态。用户也可以点击查看明细,查看到订单的详细信息,包括该订单包括的商品名称,商品数量。
5 搜索商品
6 管理员登陆
7 用户管理
8 分类管理
9 商品管理
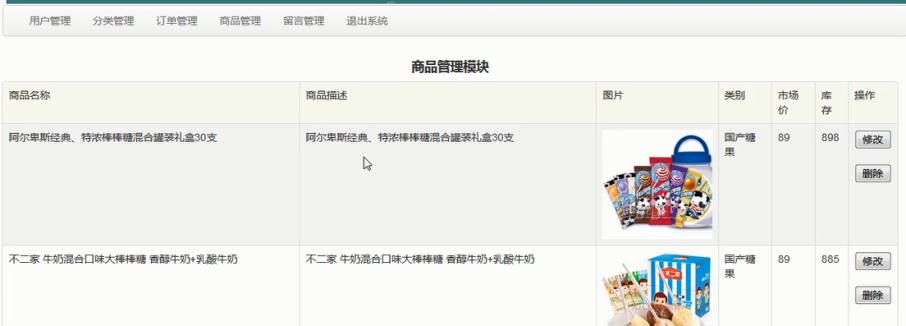
系统管理员成功登录到后台后,可以对后台的商品信息进行日常的维护工作,包括商品的新增,删除和修改。新增和删除的过程中需要输入名称,简介,上传图片,选择商品类别,输入市场价,输入库存信息。
本文介绍了一个基于JavaWeb的糖果购物系统,采用MVC架构,JSP、Servlet和JavaBean技术。系统包括前端的商品浏览、购物车管理和订单管理,以及后台的用户、订单和商品管理功能。数据库使用MySQL,支持多种浏览器运行。

被折叠的 条评论
为什么被折叠?



