
边界值法是等价类划分法的补充,所以,它们是一对搭档。
那么,判定表法有没有它的搭档呢?
答案是,有的。那就是本篇文章分享的用例设计方法—— 因果图法 。
定义
因果图法:
用来处理等价类划分和边界值考虑不到的情况,适用描述多种条件的组合,产生多个相应动作的测试方法;从程序规格说明书的描述中找出因果关系
因果图法,第一时间让我联想到的是,高中数学的排列组合。
关于这个联想,可能看完整篇文章后,你就有恍然大悟的感觉。
基本符号
在实例分析之前,有些基本的因果图符号需要说明。
首先是原因与原因之间的关系:




其次是原因与结果之间的关系:


设计步骤
需要特别说明的是,因果图相当于特殊的场景法,是判定表的搭档。
对于思维逻辑缜密的测试人员,可以直接写出判定表。
但是,有时候不能直接通过原因得到结果,需要借助中间状态,随着原因、结果不断增多,唯有依赖因果图才能更好地梳理个中关系。
具体的操作步骤如下:
分析程序的规格说明书中,哪些是原因,哪些是结果
1、原因:指输入条件或输入条件的等价类
结果:指输出条件,给每一个原因和结果赋予一个标识符
2、分析程序规格说明书中的描述,确定原因与原因,原因与结果之间的关系,画出因果图;由于语法环境的限制,一些原因与原因之间,原因与结果之间的组合不能直接出现。对于此类情况,在因果图中用记号标明约束或限制条件
3、将因果图转化为判定表
4、根据判定表的每一列设计测试用例
实例分析
题目:对于提交的作业,作业成绩达到80分或者已经得到老师确认,则允许进行下一课时的学习。
1、确定需求中的原因与结果

2、确定因果图中的约束
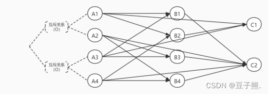
首先,原因与原因之间,关于分数,A1 与 A2 是互斥关系(O);关于老师是否确认,A3 与 A4 是互斥关系(O)。
分数与老师是否确认之间可以独立存在,属于或关系(I)
其次关于原因与结果,各个原因可以直达结果,或者分数与老师是否确认进行两两组合,形成中间状态,再到达结果。
得到的因果与中间状态列表:
梳理关系得到因果图:
3、讲因果图转化为判定表:

4、根据判定表来写测试用例了。
以上就是本篇文章所要分享的内容,欢迎各位大牛指正。你的指正,能让我在测试之路上快速成长。
Leo Never Stop Fighting!
如果你想学习自动化测试,那么下面这套视频应该会帮到你很多
如何逼自己1个月学完自动化测试,学完即就业,小白也能信手拈来,拿走不谢,允许白嫖....
最后我这里给你们分享一下我所积累和整理的一些文档和学习资料,有需要直接领取就可以了
以上内容,对于软件测试的朋友来说应该是最全面最完整的备战仓库了,为了更好地整理每个模块,我也参考了很多网上的优质博文和项目,力求不漏掉每一个知识点,很多朋友靠着这些内容进行复习,拿到了BATJ等大厂的offer,这个仓库也已经帮助了很多的软件测试的学习者,希望也能帮助到你。

本文介绍了因果图法作为判定表法的补充,用于处理等价类划分和边界值考虑不足的情况,通过分析输入输出关系创建测试用例。作者以提交作业的作业成绩和老师确认为例,详细阐述了因果图的设计步骤和转化成判定表的过程。
1569

被折叠的 条评论
为什么被折叠?



