sigmoid 函数


函数的基本性质:
1、定义域:(−∞,+∞)
2、值域:(−1,1)
3、函数在定义域内为连续和光滑函数
4、处处可导,导数为:f′(x)=f(x)(1−f(x))
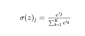
softmax函数

相同点
都可以做二分类,求的都是 cross entropy loss(交叉熵损失)
不同点
- sigmoid将一个real value映射到(0,1)的区间,用来做二分类。
- softmax 把一个 k 维的real value向量(a1,a2,a3,a4….)映射成一个(b1,b2,b3,b4….),其中 bi 是一个 0~1 的常数,输出神经元之和为 1.0,所以相当于概率值,然后可以根据 bi 的概率大小来进行多分类的任务。
本文深入探讨了Sigmoid和Softmax函数的特性及应用。Sigmoid函数用于二分类问题,其导数便于梯度下降算法计算。Softmax函数则应用于多分类任务,将向量转换为概率分布。两者在神经网络中扮演关键角色。
796

被折叠的 条评论
为什么被折叠?



