2020复习——数论
最新推荐文章于 2024-11-28 12:49:12 发布
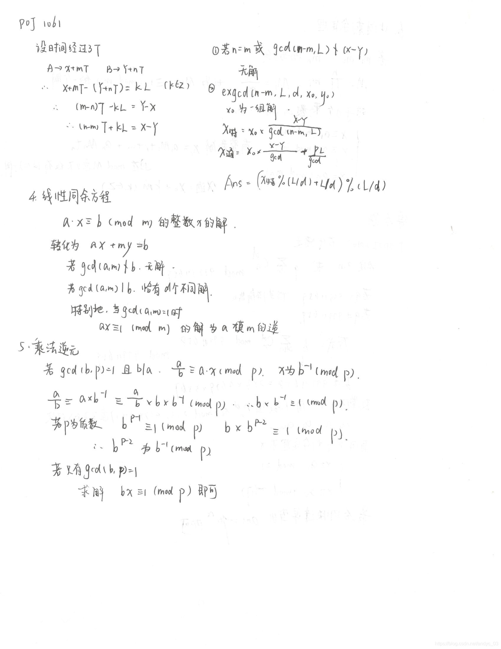
这篇博客探讨了中国剩余定理在数论中的应用,结合实例如曹冲养猪问题和青蛙的约会问题,展示了如何利用CRT解决实际问题。同时,还提及了一种古代猪文的编码方式,进一步阐述了数学在历史文化中的影响。
这篇博客探讨了中国剩余定理在数论中的应用,结合实例如曹冲养猪问题和青蛙的约会问题,展示了如何利用CRT解决实际问题。同时,还提及了一种古代猪文的编码方式,进一步阐述了数学在历史文化中的影响。
7499

被折叠的 条评论
为什么被折叠?