1. 实信号的傅里叶变换的共轭对称性
我们设x(t)的傅里叶变换为X(jw)

用-w代替w,可得:

即x*(t)的傅里叶变换为X*(-jw)
若x(t)为实信号,则x(t)=x*(t),两边经过傅里叶变换后可得X(jw)=X*(-jw)。
实信号的傅里叶变换包含负频率,若想去掉负频率但总功率又保持不变,则令
u(t)为阶跃函数,(为了写的方便把j去掉了)
经过傅里叶反变换:

由此引出了希尔伯特变换。
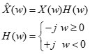
2.希尔伯特变换
希尔伯特变换相当于一个正交滤波器

求频域特性:

由上式可以看出,希尔伯特变换对所有的正频率分量移相-90,对所有的负频率分量移相+90,相当于一个正交滤波器,但幅度并没有改变。
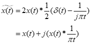
3.求包络
构造解析信号,目的是把实信号变成复信号,令原信号作为实部,经过希尔伯特变换后的信号作为虚部,得到:
此信号就是1中最后推出的信号。
一个信号既有幅度信息,又有相位信息,所以可设
代入解析信号:

ⅇ^(jω_0 t)为复载波信号,A(t)*exp(jɵ(t))为复包络。

解析信号取绝对值就是我们要的包络信号。
4186





