Datawhale干货
作者:李祖贤,Datawhale高校群成员,深圳大学
随着深度学习的发展,深度学习框架开始大量的出现。尤其是近两年,Google、Facebook、Microsoft等巨头都围绕深度学习重点投资了一系列新兴项目,他们也一直在支持一些开源的深度学习框架。目前研究人员正在使用的深度学习框架不尽相同,有 TensorFlow 、Pytorch、Caffe、Theano、Keras等。

这其中,TensorFlow和Pytorch占据了深度学习的半壁江山。前几天分享了TensorFlow的基本教程后,很多人在后台留言说能不能写写Pytorch入门。本着粉丝的诉求必须满足的原则,熬夜干,有了今天的文章。所以你懂我意思吧,记得转发、点赞、在看三联。
本文结合Pytorch官方教程、邱锡鹏老师的《神经网络与深度学习》和李沐老师的《动手学深度学习》,为大家介绍的一下Pytorch深度学习框架。具体目录如下:

一、数据操作
import torch
1.1 创建TENSOR
# 创建未初始化的Tensor
x = torch.empty(5,3)
print(x)

# 创建随机初始化的Tensor
x = torch.rand(5,3)
print(x)

# 创建全为0的Tensor
x = torch.zeros(5,3,dtype=torch.long)
print(x)

# 根据数据创建Tensor
x = torch.tensor([5.5,3])
print(x)

# 修改原Tensor为全1的Tensor
x = x.new_ones(5,3,dtype=torch.float64)
print(x)
# 修改数据类型
x = torch.rand_like(x,dtype=torch.float64)
print(x)

# 获取Tensor的形状
print(x.size())
print(x.shape)
# 注意:返回的torch.Size其实就是⼀一个tuple, ⽀支持所有tuple的操作。


这些创建方法都可以在创建的时候指定数据类型dtype和存放device(cpu/gpu)。
1.2 操作
1.2.1 算术操作
在PyTorch中,同⼀种操作可能有很多种形式,下⾯面⽤用加法作为例子。
# 形式1:
y = torch.rand(5,3)
print(x+y)

# 形式2
print(torch.add(x,y))
# 还可以指定输出
result = torch.empty(5, 3)
torch.add(x, y, out=result)
print(result)

# 形式3
y.add_(x)
print(y)

1.2.2 索引
我们还可以使⽤类似NumPy的索引操作来访问 Tensor 的一部分,需要注意的是:索引出来的结果与原数据共享内存,也即修改⼀个,另⼀个会跟着修改。
y = x[0,:]
y += 1
print(y)
print(x[0,:]) # 观察x是否改变了

1.2.3 改变形状
注意 view() 返回的新tensor与源tensor共享内存(其实是同⼀个tensor),也即更改其中的⼀个,另 外⼀个也会跟着改变。(顾名思义,view仅是改变了对这个张量的观察角度)
y = x.view(15)
z = x.view(-1,5) # -1所指的维度可以根据其他维度的值推出来
print(x.size(),y.size(),z.size())

x += 1
print(x)
print(y)

所以如果我们想返回⼀个真正新的副本(即不共享内存)该怎么办呢?Pytorch还提供了⼀ 个 reshape() 可以改变形状,但是此函数并不能保证返回的是其拷贝,所以不推荐使用。推荐先 ⽤ clone 创造一个副本然后再使⽤ view 。
x_cp = x.clone().view(15)
x -= 1
print(x)
print(x_cp)

另外⼀个常用的函数就是 item() , 它可以将⼀个标量 Tensor 转换成⼀个Python
number:x = torch.randn(1)
print(x)
print(x.item())


1.2.4 线性代数
1.3 广播机制
前⾯我们看到如何对两个形状相同的 Tensor 做按元素运算。当对两个形状不同的 Tensor 按元素运算时,可能会触发广播(broadcasting)机制:先适当复制元素使这两个 Tensor 形状相同后再按元素运算。例如:
x = torch.arange(1,3).view(1,2)
print(x)
y = torch.arange(1,4).view(3,1)
print(y)
print(x+y)

1.4 Tensor和Numpy相互转化
我们很容易⽤ numpy() 和 from_numpy() 将 Tensor 和NumPy中的数组相互转换。但是需要注意的⼀点是:这两个函数所产生的的 Tensor 和NumPy中的数组共享相同的内存(所以他们之间的转换很快),改变其中⼀个时另⼀个也会改变!!!
a = torch.ones(5)
b = a.numpy()
print(a,b)

a += 1
print(a,b)

b += 1
print(a,b)

使⽤ from_numpy() 将NumPy数组转换成 Tensor :
import numpy as np
a = np.ones(5)
b = torch.from_numpy(a)
print(a,b)

a += 1
print(a,b)
b += 1
print(a,b)

1.5 GPU运算
# let us run this cell only if CUDA is available
# We will use ``torch.device`` objects to move tensors in and out of GPU
if torch.cuda.is_available():
device = torch.device("cuda") # a CUDA device object
y = torch.ones_like(x, device=device) # directly create a tensor on GPU
x = x.to(device) # or just use strings ``.to("cuda")``
z = x + y
print(z)
print(z.to("cpu", torch.double)) # ``.to`` can also change dtype together!

二、自动求梯度(非常重要)
很多人看到这里是懵的,因为为什么会得出导数的结果,在这里我给出自动求导的一些原理性的知识,希望能帮助大家更好的学习pytorch这个重要的框架。
该autograd软件包是PyTorch中所有神经网络的核心。让我们首先简要地访问它,然后我们将去训练我们的第一个神经网络。
该autograd软件包可自动区分张量上的所有操作。这是一个按运行定义的框架,这意味着您的backprop是由代码的运行方式定义的,并且每次迭代都可以不同。
如果想了解数值微分数值积分和自动求导的知识,可以查看邱锡鹏老师的《神经网络与深度学习》第四章第五节:
下载地址:https://nndl.github.io/
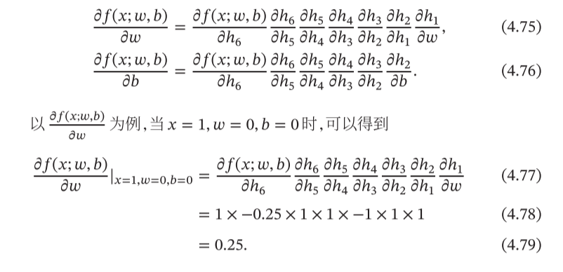
在这里简单说说自动微分的原理吧:我们的目标是求
在 处的导数。我们的做法是利用链式法则分解为一系列的操作:



2.1 张量及张量的求导(Tensor)
# 加入requires_grad=True参数可追踪函数求导
x = torch.ones(2,2,requires_grad=True)
print(x)
print(x.grad_fn)

# 进行运算
y = x + 2
print(y)
print(y.grad_fn) # 创建了一个加法操作<AddBackward0 object at 0x0000017AF2F86EF0>

像x这种直接创建的称为叶子节点,叶子节点对应的 grad_fn 是 None 。
print(x.is_leaf,y.is_leaf)

# 整点复杂的操作
z = y * y * 3
out = z.mean()
print(z,out)

a = torch.randn(2,2) # 缺失情况下默认 requires_grad = False
a = ((a*3)/(a-1))
print(a.requires_grad) # False
a.requires_grad_(True)
print(a.requires_grad)
b = (a*a).sum()
print(b.grad_fn)

2.2 梯度
现在让我们反向传播:因为out包含单个标量,out.backward()所以等效于out.backward(torch.tensor(1.))。
out.backward()
print(x.grad)

# 再来反向传播⼀次,注意grad是累加的
out2 = x.sum()
out2.backward()
print(x.grad)
out3 = x.sum()
x.grad.data.zero_()
out3.backward()
print(x.grad)

这是一个简单的前馈网络。它获取输入,将其一层又一层地馈入,然后最终给出输出。神经网络的典型训练过程如下:
定义具有一些可学习参数(或权重)的神经网络
遍历输入数据集
通过网络处理输入
计算损失(输出正确的距离有多远)
将梯度传播回网络参数
通常使用简单的更新规则来更新网络的权重:weight = weight - learning_rate * gradient

import torch
import torch.nn as nn
import torch.nn.functional as F
class Net(nn.Module):
def __init__(self):
super(Net,self).__init__()
# 1 input image channel, 6 output channels, 3x3 square convolution
# kernel
self.conv1 = nn.Conv2d(1,6,3)
self.conv2 = nn.Conv2d(6,16,3)
# an affine operation: y = Wx + b
self.fc1 = nn.Linear(16*6*6,120) # 6*6 from image dimension
self.fc2 = nn.Linear(120,84)
self.fc3 = nn.Linear(84,10)
def forward(self,x):
# Max pooling over a (2, 2) window
x = F.max_pool2d(F.relu(self.conv1(x)),(2,2)) # CLASStorch.nn.MaxPool2d(kernel_size, stride=None, padding=0, dilation=1, return_indices=False, ceil_mode=False)
x = F.max_pool2d(F.relu(self.conv2(x)),2)
x = x.view(-1,self.num_flat_features(x))
x = F.relu(self.fc1(x))
x = F.relu(self.fc2(x))
x = self.fc3(x)
return x
def num_flat_features(self,x):
size = x.size()[1:] # all dimensions except the batch dimension
num_features = 1
for s in size:
num_features *= s
print(num_features)
return num_features
net = Net()
print(net)

# 模型的可学习参数由返回 net.parameters()
params = list(net.parameters())
print(len(params))
print(params[0].size()) # conv1 s .weight

# 尝试一个32x32随机输入
input = torch.randn(1,1,32,32)
out = net(input)
print(out)

# 用随机梯度将所有参数和反向传播器的梯度缓冲区归零:
net.zero_grad()
out.backward(torch.randn(1,10))
3.2 损失函数
output = net(input)
target = torch.randn(10) # a dummy target, for example
target = target.view(-1,1) # # make it the same shape as output
criterion = nn.MSELoss()
loss = criterion(output,target)
print(loss)


# 如果loss使用.grad_fn属性的属性向后移动,可查看网络结构
print(loss.grad_fn) # MSELoss
print(loss.grad_fn.next_functions[0][0]) # Linear
print(loss.grad_fn.next_functions[0][0].next_functions[0][0]) # ReLU

3.3 更新权重
实践中使用的最简单的更新规则是随机梯度下降(SGD):
weight = weight - learning_rate * gradient
import torch.optim as optim
# create your optimizer
optimizer = optim.SGD(net.parameters(),lr = 0.01)
# in your training loop:
optimizer.zero_grad() # zero the gradient buffers
output = net(input)
loss = criterion(output,target)
loss.backward()
optimizer.step()
本文详细介绍PyTorch深度学习框架的使用,包括数据操作、自动求梯度、神经网络设计等内容,适合初学者入门与实践。
938

被折叠的 条评论
为什么被折叠?



