Given A binary Tree, how do you remove all the half nodes (which has only one child)? Note leaves should not be touched as they have both children as NULL.
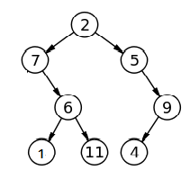
For example consider the below tree.
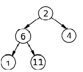
Nodes 7, 5 and 9 are half nodes as one of their child is Null. We need to remove all such half nodes and return the root pointer of following new tree.
Post order traversal
1 public class RemoveHalfNodes { 2 public static TreeNode removeHalfNodes(TreeNode root) { 3 if(root == null) { 4 return root; 5 } 6 root.left = removeHalfNodes(root.left); 7 root.right = removeHalfNodes(root.right); 8 if(root.left == null && root.right != null) { 9 return root.right; 10 } 11 else if(root.left != null && root.right == null) { 12 return root.left; 13 } 14 return root; 15 } 16 private static void traverseTree(TreeNode root) { 17 if(root == null) { 18 return; 19 } 20 String leftVal = root.left == null ? "null" : String.valueOf(root.left.val); 21 String rightVal = root.right == null ? "null" : String.valueOf(root.right.val); 22 System.out.println(root.val + " left node: " + leftVal + "; right node: " + rightVal); 23 traverseTree(root.left); 24 traverseTree(root.right); 25 } 26 public static void main(String[] args) { 27 TreeNode[] nodes = new TreeNode[8]; 28 for(int i = 0; i < 8; i++) { 29 nodes[i] = new TreeNode(i); 30 } 31 nodes[0].left = nodes[1]; nodes[0].right = nodes[2]; 32 nodes[1].right = nodes[3]; 33 nodes[2].right = nodes[4]; 34 nodes[3].left = nodes[5]; nodes[3].right = nodes[6]; 35 nodes[4].left = nodes[7]; 36 TreeNode root = removeHalfNodes(nodes[0]); 37 traverseTree(root); 38 } 39 }

1418

被折叠的 条评论
为什么被折叠?



