PTA实验
题目1:计算分段函数[2]
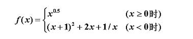
本题目要求计算下列分段函数f(x)的值:
1.实验代码
{
double x,y;
scanf("%lf",&x);
if(x>=0)
{
y=pow(x,0.5);
printf("f(%.2lf) = %.2lf",x,y);
}
else
{
y=pow(x+1,2)+2*x+pow(x,-1);
printf("f(%.2lf) = %.2lf",x,y);
}
return 0;
}
2.设计思路
(1)定义两个双精度浮点型变量想x,y,输入x的值;
(2)当x>=0,y=pow(x,0.5);x<0,y=pow(x+1,2)+2*x+pow(x,-1);
(3)输出y;
3.本题调试过程碰到问题及解决办法
一开始不知道怎么输出f(x)=的格式,翻了一下书找到了格式,问题解决。
4.本题提交列表

题目2:7-4 输出三角形面积和周长
本题要求编写程序,根据输入的三角形的三条边a、b、c,计算并输出面积和周长。注意:在一个三角形中, 任意两边之和大于第三边。三角形面积计算公式:area=√s(s−a)(s−b)(s−c),其中s=(a+b+c)/2。
1.实验代码
{
int a,b,c;
double s,area,perimeter;
scanf("%d%d%d",&a,&b,&c);
s=(1.0*a+1.0*b+1.0*c)/2;
area=pow(s*(s-1.0*a)*(s-1.0*b)*(s-1.0*c),0.5);
perimeter=1.0*a+1.0*b+1.0*c;
if (a<b+c&&b<a+c&&c<a+b)
{
printf("area = %.2f; perimeter = %.2f",area,perimeter);
}
else
{
printf("These sides do not correspond to a valid triangle");
}
return 0;
}
2.设计思路
(1)定义三个整型变量啊a,b,c,三个双精度浮点型变量s,area,perimeter,输入a,b,c的值;
(2)s=(a+b+c)/2.0,area=pow(s(s-1.0a)(s-1.b)(s-1.0c),0.5),perimeter=1.0*(a+b+c);
(3)当a<b+c且b<a+c且c<a+b时,输出area,perimeter,否,则输出"These sides do not correspond to a valid triangle";
3.本题调试过程碰到问题及解决办法
一些条件考虑的不够清楚,本应该用与却用了或,导致程序错误,经过反复检查发现了问题所在,并改正了。
4.本题提交列表

题目3:7-6 出租车计价
本题要求根据某城市普通出租车收费标准编写程序进行车费计算。具体标准如下:
起步里程为3公里,起步费10元;
超起步里程后10公里内,每公里2元;
超过10公里以上的部分加收50%的回空补贴费,即每公里3元;
营运过程中,因路阻及乘客要求临时停车的,按每5分钟2元计收(不足5分钟则不收费)。
1.实验代码
{
float mileage,money;
int time;
scanf("%f%d",&mileage,&time);
if(mileage<=3)
money=10+(time/5)*2;
else if(mileage>3&&mileage<=10)
money=10+2*(mileage-3)+(time/5)*2;
else{
money=10+2*7+3*(mileage-10)+(time/5)*2;
}
printf("%.0f",money);
return 0;
}
2.设计思路
(1)定义两个单精度浮点型变量mileage,money,一个整形变量time,输入mileage,time的值;
(2)当mileage<=3时, money=10+(time/5)2,当3<mileage<=10时,money=10+2(mileage-3)+(time/5)2,当mileage>10时, money=10+27+3(mileage-10)+(time/5)2;
(3)四舍五入输出money;
3.本题调试过程碰到问题及解决办法
一开始总想着怎么判断等待时长的条件怎么表示,后来才想明白可以直接用整除的方式来处理,于是就把if条件中的关于等待时长的条件去掉了。
4.本题提交列表

题目4:7-8 程序设计联考
自从湖南农业大学、吉首大学和怀化学院组织程序设计课程联考以后,举办联考的经验越来丰富。尤其是在使用PTA系统作为考试平台之后,联考工作得到了很多学校的认可和支持。所以,现在参与联考的学校比较多。为了便于区分考生,考生账号的第一位是学校代号。1代表Hunan Agricultural University,2代表Jishou University,3代表Huaihua University,4代表Aerospace University,5代表Ocean University。 请编写程序根据考生的账号区分考生的学校。
1.实验代码
{
int schoolnumber;
scanf("%d",&schoolnumber);
if (schoolnumber/100000==1)
{
printf("Hunan Agricultural University");
}
else if (schoolnumber/100000==2)
{
printf("Jishou University");
}
else if (schoolnumber/100000==3)
{
printf("Huaihua University");
}
else if (schoolnumber/100000==4)
{
printf("Aerospace University");
}
else if (schoolnumber/100000==5)
{
printf("Ocean University");
}
else
{
printf("Other University");
}
return 0;
}
2.设计思路
(1)定义一个整型变量shoolnumber,输入schoolnumber的值;
(2)当六位数schoolnumber的十万位为1,2,3,4,5,时,分别输出Hunan Agricultural University,Jishou University,Huaihua University,Aerospace University,Ocean University,其他情况输出Other University;
3.本题调试过程碰到问题及解决办法
这一题比较简单,一气呵成写好了。
4.本题提交列表

本周PTA作业排名

本周学习总结
1.我学会了什么?
通过本周的学习,我已经初步掌握switch语句的用法,并学会了字符型变量的运用,此外还学习了逻辑运算。
2.本周的内容,你还不会什么?
字符型变量以及switch语句比较生疏,不能熟练运用,程序调试也没学会。
C语言分支结构实践
本文详细介绍了C语言中分支结构的应用,包括分段函数计算、三角形面积与周长计算、出租车计价以及根据账号区分考生学校等PTA实验题目。通过实际编程,深入理解条件判断和逻辑运算。
3347

被折叠的 条评论
为什么被折叠?



