一、 树的定义
- 1. 为什么学习树?
树是一对多的逻辑结构,在人机对弈、家族族谱、树形信息等应用非常广泛。学习它有很重要的意义。
- 2. 树的定义
由n(n>=0)个结点的有限集。n=0表示空树。
n>1 满足:
(1) 有且只有一个根结点。
(2) 其余结点分成互不相交的m个子集T1、T2、...、Tm,每个集合又都是一颗树。
注意:1)树可以是空树。
2)树的定义具有递归性 (树中有树)。
- 3. 结点分类
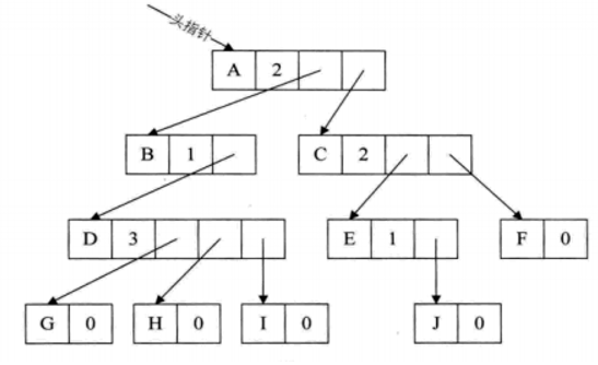
树的结点包含一个数据元素及若干指向其子树的分支。结点拥有的子树称为结点的度(Regree)。度为0的结点称为叶结点(Leaf)或终端结点;度不为0的结点称为非终端结点或分支节点。除根结点之外,分支节点也将称为内部结点。树的度是树内各结点的度的最大值。如图所示,因为这棵树结点的度的最大值是结点D的度,为3,所以树的度也为3。

问上图中,树的度是几?叶子结点是几?内部结点为几?
- 1. 结点间关系
结点的子树的根称为该结点的孩子(Child),相应地,该结点称为孩子的双父亲(Parent)。嗯,为什么不是父或母,叫双亲呢?呵呵,对于结点来说其父母同体,惟一的一个,所以只能把它称为双亲了。同一个双亲的孩子之间互称兄弟(Sibling)。结点的祖先是从根到该结点所经分支上的所有结点。所以对于H来说,D、B、A都是它的祖先。反之,以某结点为根的子树中的任一结点都称为该结点的子孙。B的子孙有D、G、H、I。如图所示

五个概念:双亲、兄弟、孩子、祖先、子孙、堂兄弟
- 1. 树的其他相关概念
结点的层次(Level)从根开始定义起,根为第一层,根的孩子为第二层,若某结点在第一层,则其子树的根就在第l+1层。其双亲在同一层的终点互为堂兄弟。显然图中的D、E、是堂兄弟,而G、H、I、J也是。树中结点的最大层次称为树的深度(Deoth)或高度,当前树的深度为4。

如果将树中结点的各子树看成从左至右是有次序的,不能互换的,则称该树为有序树,否则称为无序树。森林(Forest)是m>(m≥0)颗互不相交的树的集合。对于树中每个结点而言,其子树的集合即为森林。对比线性表与树的结构,它们有很大的不同,如图所示。

一、 树的抽象数据类型
相对于线性结构,树的操作就完全不同了,这里我们给出一些基本和常用操作。

一、 树的存储结构
说到存储结构,就会想到我们前面章节讲过的顺序存储和链式存储两种结构。先来看看顺序存储结构,用一段地址链接的存储单位以此存储线性的数据元素,这对于线性表来说是很自然的,对于树这样一多对这样的结构呢?、树中某个结点的孩子可以有多个,这就意味着无论按何种顺序将树中所有的结点存储到数组中,结点的存储位置都无法直接反应逻辑关系,你想想看,数据元素挨个的存储,谁是谁的双亲,谁是谁的孩子呢?简单的顺序存储结构是不能满足树的实现要求的。
不过充分利用顺序存储和链式存储结构的特点,完全可以实现对树的存储结构的表示。我们这里要介绍三种不同的表示方法:双亲表示法、孩子表示法、孩子兄弟表示法。
- 1. 双亲表示法
我们人可能因为种种原因没有孩子,但无论是谁都不可能从石头里蹦出了的,孙悟空显然不能算是人,所以人一定会有父母。树这种结构也不例外,除了根结点处,其余每个结点,他不一定有孩子,但一定有且仅有一个双亲。我们假设以一组连续空间存储树的结点,同时在每个结点中附设一个指示器指它的双亲在哪里。它的节点结构如图所示。


有了这样的结构定义,我们就可以来实现双亲表示法了。由于根结点是没有双亲的,所以我们约定根结点的位置域设置为—1,这也意味着,我们所有的结点都存有它双亲的位置。如图中的树结构和下表中树双亲表示所示。


这样的存储结构,我们可以根据结点的parent指针很容易找到它的双亲结点,所用的时间复杂度为0(1),直到parent为—1时,表示找到了树结点的根,可如果我们要知道结点的孩子是什么,对不起,请遍历整个结构才行。
这真是麻烦,能不能改进一下呢?
当然可以,我们增加一个结点最左边的孩子的域,不妨叫他长子域,这样就可以很容易得到结点的孩子。如果没有孩子的结点,这个长子域就设置为—1,如图所示

对于0个域和1个孩子结点来说,这样的结构是解决了要找结点孩子的问题了。设置是有2个孩子,知道了长子是谁,另一个当然就是次子了。
另外一个问题场景我们很关注各兄弟之间的关系,双亲表示法无法体现这样的关系,那我们怎么办?恩,可以增加一个右兄弟域来体现兄弟关系,也就是说,每一个结点如果它存在有兄弟,则记录下右兄弟的下标,同样的,如果右兄弟不存在,则赋值为—1,如表6-4-4所示。

但如果结点的孩子很多,超过了2个,我们又关注结点的双亲,又关注结点的孩子,还关注结点的兄弟,而且对时间遍历要求还比较高,那么我们还可以把此结构扩展为有双亲域、长子域、再有右兄弟域。存储结构的设计是一个非常灵活的过程。一个存储结构设计得是否合理,取决于基于该存储结构的运算是否适合,是否方便,时间复杂度好不好等。注意也不是越多越好,有需要时间再设计相应的结构就像在好听的音乐,不停反复听上千遍也会腻味,再好看的电影一段时间反复看上百遍,也会无趣,你们说是吗?
- 1. 孩子表示法
换一种完全不同的考虑方法。由于树中每个结点可能有多颗子树,可以考虑用多重链表,即每个结点有多个指针域,其中每个指针指向一棵树的根结点,我们把这种方法叫做多重链表表示法。不过,树的每个结点的度,也就是它的孩子个数是不同的。所以,可以设计两种方案来解决。
方案一
一种指针域的个数就等于树的度。复习一下,树的度是树各个结点度的最大值,其结构如图所示。

其中data是数据域。child1到childd 是指针域,用来指向该结点的孩子结点。
对于图中的树来说,树的度是3,所以我们的指针域的个数是3,这种方法实现如图中所示。

这种方法对于树中各结点的度相差很大时,显然是很浪费空间的,因为有很多的结点,它的指针域都是空的。不过如果树的各结点度相差很小时,那就意味着开辟的空间被充分利用了,这时存储结构的缺点反而变成了优点。
既然很多指针域都可能为空,为什么不按需分配空间呢。于是我们有了第二种方案。
方案二
第二种方案每个结点指针域的个数等于该结点的度,我们专门取一个位置来存储结点指针的个数,其结构如表所示。

其中data为数据域,degree为度域,也就是存储该结点的孩子结点的个数。child1到childd为指针域,指向该结点的各个孩子的结点。对于上面图的树来说,这种方法实现如图所示。

这种方法克服了浪费空间的缺点,对空间利用率是很高了,但由于各个节点的链表是不相同的结构,加上要维护结点的度的数值,在运算上就会带来时间上的损耗。能否有更好的方法既可以减少空指针的浪费又能使结点结构相同。仔细观察,我们为了要遍历整棵树,把每个结点放到一个顺序存储结构的数组中是合理的,但每个结点的孩子有多少是不确定的,所以我们在对每个结点的孩子建立一个单链表体现它们的关系。这就是我们要讲的孩子表示法,具体办法是,把每个结点的孩子结点排列起来,以单链表做存储结构,则n个结点有n个孩子链表,如果是叶子结点则此单链表为空。然后n个头指针又组成一个线性表,采用顺序存储结构,存放进一个一维数组中,如图所示。

为此,设置两种结点结构,一个是孩子链表的孩子节点,如表所示

其中child是数据域,用来存储某个结点在表头数组中的下方。next是指针域,用来存储指向某结点的下一个孩子结点指针。另一个表头数组的表头结点,如表所示。

其中data是数据域,存储某结点的数据信息,firstchild是头指针域,存储该结点的孩子链表的头指针。
一下是我们的孩子表示法的结构定义代码。


这样的结构对于我们要查找某个结点的某个孩子或者找某个结点的兄弟,,只需要查找这个结点的孩子单链表即可,对于遍历整棵树也是很方便的,堆头结点的数组循环即可
但是,这也存在着问题,我如何知道某个结点的双亲是谁呢?比较麻烦,需要整个树的遍历才行,难道就不可以把双亲表示法和孩子表示法综合一下吗?当然是可以的。如图所示

我们把这种方法称为双亲孩子表示法,应该算是孩子表示法的改进。至于这个表示法的具体结构定义,这里就略过,留给同学们自己去设计了。
- 1. 孩子兄弟表示法
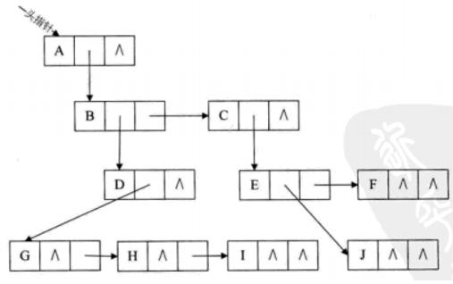
刚才我们分别从双亲的角度和从孩子的角度研究树的存储结构,如果我们从树结点的兄弟的角度又如何呢?当然,对于树这样的层级结构来说,只研究结点的兄弟是不行的,我们观察后发现,任意一棵树,他的结点的第一个孩子如果存在就是唯一的,它的右兄弟如果存在也是唯一的。因此,我们设置两个指针,分别指向该结点的第一个孩子和此结点的右兄弟。
结点结构如图所示

其中data是数据域,firstchild 为指针域,存储该结点的第一个孩子结点的存储地址,rightsib 是指针域,存储该结点的右兄弟结点的存储地址。结构定义代码如下

对于下图的树来说,这种方法实现的示意图。

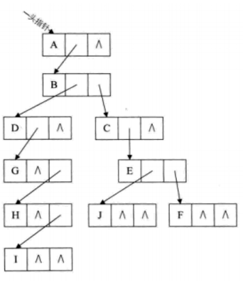
这种表示法,给查找某个结点的某个孩子带来了方便,只需要通过fistchild 查找此结点的长子,然后在通过长子的结点的rightsib找到它的二弟,接着一直下去,直到找到具体的孩子。当然如果想找到某个结点的双亲,这个表示法是有缺陷的,那咋么办呢?呵呵,对如果真的有必要,完全可以在增加一个parent指针域来解决快速查找双亲问题,这里就不再细谈了。其实这个表示法的最大好处是把一颗复杂的树变成一颗二叉树。我们把图变变形就成了下图这个样子。

这样就可以从分利用二叉树的特性和算法来处理这棵树了。嗯?有人问,二叉树是什么?哈哈,别急,这正是下一个单元重点讲的内容。
代码
#include "stdio.h" #define MAX 20 struct slist{ int arr[MAX]; int len; }s; void fun1() { int g,sh,b;//代表个位,十位,百味 int count=0,i;//用于顺序表的数组计数 for(i=100;i<1000;i++) { g=i%10; sh=(i-g)%100/10; b=i/100; if((g*g*g+sh*sh*sh+b*b*b)==i) { s.arr[count++]=i; s.len++; } } } void fun2() { int i,j,sum=0; for(i=1;i<=10000;i++) { sum=0; for(j=i-1;j>0;j--) { if(i%j==0) { sum+=j; } } if(sum==i) { s.arr[s.len]=i; s.len++; } } } void print() { int i; printf("线性表的元素有:\n"); for(i=0;i<s.len;i++) { printf("%d ",s.arr[i]); } } void maoplist() { int tem,i,j,flag; for(i=1;i<s.len;i++) { flag=-1; for(j=0;j<s.len-i;j++) { if(s.arr[j]>s.arr[j+1]) { tem=s.arr[j]; s.arr[j]=s.arr[j+1]; s.arr[j+1]=tem; flag=0; } } if(flag==-1) { break;//提前结束 } } } void zhebanlist() { int tem,mid,low,high; low=0; high=s.len-1; printf("请输入要查找的数:"); scanf("%d",&tem); while(low<=high) { mid=(low+high)/2; if(s.arr[mid]>tem) { high=mid-1; }else if(s.arr[mid]<tem) { low=mid+1; }else{ printf("查找成功,该元素在第%d个位置\n",mid); return ; } } printf("查找失败!\n"); } void main() { int bh; s.len=0; for(;;) { printf("\n请输入您的选择:"); scanf("%d",&bh); switch(bh) { case 1: fun1(); print(); break; case 2: fun2(); print(); break; case 3: maoplist(); print(); break; case 4: zhebanlist(); break; default : printf("您输入的功能编号有误!\n"); break; } } }
本文详细介绍了树这一数据结构的基本概念、结点间的关系及树的相关概念,并深入探讨了树的几种存储方式,包括双亲表示法、孩子表示法及孩子兄弟表示法,帮助读者更好地理解和掌握树的存储结构。
2766

被折叠的 条评论
为什么被折叠?



