什么是并发编程?
跳出来看全局就是3部分:分工、协作、互斥
钻进去看本质:技术的本质就是背后的理论模型

并发理论基础
并发编程产生bug的原因
- 可见性:cpu缓存导致共享变量在多核cpu的情况下,不可见,所以计算会出错
- 原子性:高级语言中的一个操作可能是操作系统中多个操作,如count + =1 ,其实对应操作系统3步操作「1、count从内存加载到cpu寄存器;2、寄存器执行+1操作;3、将结果写回内存(缓存机制可能回写回cpu缓存而不是内存)」
- 有序性:编译优化后,代码执行顺序可能发生变化

Java内存模型,如何解决可见性和有序性问题
方案:按需禁用缓存以及编译优化
方法:volatile,synchronzied,final关键字,六项Happens-Before规则
- volatile:告诉编译器禁用cpu缓存,必须从内存中读写变量(解决可见性)
- final: 告诉编译器这个变量不会变,随便进行编译优化(解决编译优化顺序性和原子性)
- 六项Happens-Before规则:前面一个操作的结果对后续是可见的。(解决可见性问题和编译优化顺序性)
原子性问题
源头:线程切换
解决方案:锁,互斥锁,一把锁可以保护多个资源
加锁本质就是在锁对象的对象头中写入当前线程id
用不同的锁对受保护资源进行精细化管理,能够提升性能。这种锁还有个名字,叫细粒度锁,会有死锁问题
锁的资源:无关联资源可用各自对象,有关联资源可用class对象,class对象是Java虚拟机加载类时创建的,具有唯一性
如何避免死锁
产生的条件:互斥、占有资源A等待资源B且不释放资源A、其他资源不能强行抢占资源、循环等待
解决办法:破坏其中一个条件
破坏占有且等待条件:由一个单例类来分配资源
破坏不可抢占条件:主动释放资源可用Lock,synchroized做不到
破坏循环等待条件:资源进行排序,等待-通知机制
活锁
原因:线程永久阻塞,类似两个人过同一个门,都走左边,然后互相谦让又都走右边,一直循环下去
方案:添加一个随机的等待时间
线程饥饿
原因:优先级低的线程获取锁的机会小,持有锁的线程执行时间长
方案:公平锁,线程等待有先来后到,获取锁的机会平等
性能问题
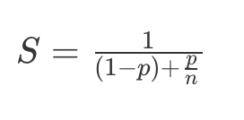
阿姆达尔定律:

公式里的 n 可以理解为 CPU 的核数,p 可以理解为并行百分比,那(1-p)就是串行百分比了,也就是我们假设的 5%。我们再假设 CPU 的核数(也就是 n)无穷大,那加速比 S 的极限就是 20。
方案:
- 无锁算法和数据结构,例如线程本地存储 (Thread Local Storage, TLS)、写入时复制 (Copy-on-write)、乐观锁等;Java 并发包里面的原子类也是一种无锁的数据结构;Disruptor 则是一个无锁的内存队列,性能都非常好……
- 减少锁持有时间,增加并行度,如:细粒度锁,分段锁,读写锁

最低0.47元/天 解锁文章
661

被折叠的 条评论
为什么被折叠?



