数学建模之lingo软件
Lingo 编程方法:
- 不使用集合语言---------解决小规模问题(笨办法)
例子:

直接贴出代码:

得到如下结果:最优解为 26;

- 使用集合语言-----------解决大规模问题
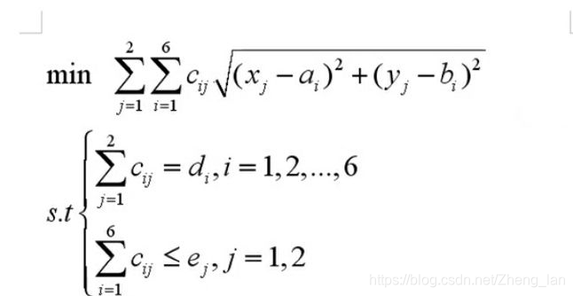
例子:求解以下方程;

(1).定义集合:S是i的集合,i在1-6之间,定义下标为i的元素有a,b,d;
U是i,j的双下标的元素,这样的元素有c。

(2).输入数据,这是输入题目的数据区。

(3).编写模型公式:下面是约束条件。

这里解释一下@sum的意思,你就把它当成 这个符号,然后括号里面写出下标范围T(j),这个T(j)就是j的一个集合
(4).得出计算结果:这里的解为136.2275

Lingo编程步骤: - 确保模型的正确性(了解每个式子的意思,变量,变量下标等,确定哪些已知数据和模型类型);
- 确定指标集,定义集合;
- 确定变量(程序变量(已知数据的量), 决策变量)及其依赖的指标集;
- 正确写出,每个式子。
截了一些常用的命令:

答:

另外的一些指令即使不会也没关系,直接百度就行了,没必要费老大劲去一个个的记。
最近在搞数学建模,争取坚持到学习完吧!
952

被折叠的 条评论
为什么被折叠?



