一、DC变压器模型
1、理想直流-直流转换器
(1)对于理想直流-直流转换器,转换器没有任何损耗,在稳态下有输入功率等于输出功率,在瞬态瞬间,滤波器元件内的能量存储可能导致输入功率不等于输出功率。

(2)稳态下理想直流-直流转换器的基本方程:

2、直流-直流转换器等效电路
(1)理想情况下,直流-直流转换器在稳态下有输入功率等于输出功率,那么可以将其等效为直流变压器,并定义为线圈匝数比,如下图所示。

(2)等效为直流变压器后,等效电路中没有开关元件,那么电路中的直流分量将会变得很容易求解。
(3)实际直流-直流转换器等效电路:
实际应用中,直流-直流转换器中的储能元件会带有寄生电阻,所以实际的等效电路在输入端应该串联一个电阻,阻值即为转换器的寄生电阻,如下图所示

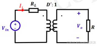
根据转换比可继续简化电路,将直流变压器简化后,输出侧电压不变,输入侧电压乘以转换比,则可将电路简化为下图所示

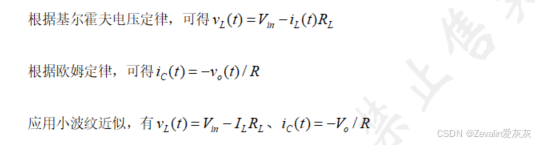
根据基尔霍夫电压定律,易得

二、非理想转换器的直流稳态分析
1、寄生电阻的等效
(1)直流变压器可以继续扩展,将转换器中的一些非理想特性概括进去,如电感的铜损,以下则以电感的铜损为例进行分析,对于其它非理想元件,也可按照此方法进行等效分析。
(2)实际电感是具有寄生电阻的,根据电路理论,可以将实际电感认为是理想电感和寄生电阻的串联,如下图所示。

2、包含电感铜损的等效直流变压器的直流稳态分析
(1)以Boost电路为例,将直流-直流转换器中的电感用实际电感表示,即在理想电感的旁边串联一个寄生电阻,可得下图所示的电路。

(2)使用子状态分析法分析包含电感铜损的直流-直流转换器:
①当单刀双掷开关处于位置1时:

②当单刀双掷开关处于位置2时:


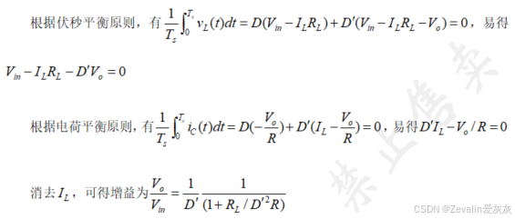
(3)应用稳态下的原则求解包含电感铜损的直流-直流转换器的增益:
根据子状态法的结论,可作出电感电压和电容电流的图像,如下图所示



三、DC等效模型建立与求解
1、等效电路模型的构建
(1)继续以Boost电路为例,在上一章中已经根据伏秒平衡和电荷平衡原则推导出了两个方程,将它们视为等效电路的回路方程和节点方程,即可构建一个满足这些方程的等效电路,当然,两个方程均用直流量表示,所以构建出来的等效电路也只能进行直流量的分析。
(2)源端(电源端)电路等效:

(3)负端(负载端)电路等效:

(4)源端和负端拼接,即可得到最终的等效电路,可以发现两个子等效电路的受控源彼此互相控制,具有相同的系数,也就是说,可以直接将它们等效为理想的直流变压器。


2、等效电路模型的求解
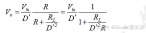
(1)根据所构建的等效电路模型,继续简化等效的直流变压器,得到更简单的电路模型,易求出输出电压与输出电压的关系,如下所示。


(2)根据所构建的等效电路模型,还可以求出电路的效率,如下所示。


四、传入端口模型
1、获取模型的输入端口
(1)以Buck电路为例,模仿上一节的等效电路模型推导过程,可以得到平均电感电压和平均电感电流。

(2)变换器的输入电流为,电感的电流为
,二者之间的关系由开关元件的开关占空比D决定,如下图所示,其中可对电感电流应用小波纹近似,则变换器的输入电流平均值(或称直流分量)为


(3)求解出变换器的输入电流表达式后,Buck电路的源端等效电路也呼之欲出,如下图所示。

2、模型输入端口与输出端口拼接
(1)应用稳态下的原则,可以根据上面推导的两个方程构建等效电路,其中电感电压的平均值为0,电容电流的平均值为0,如下图所示。

(2)Buck电路的输入端口和输出端口的等效电路拼接,即可得到下图所示的等效电路。

(3)用等效直流变压器替换受控源,即可得到下图所示的等效电路。

五、半导体器件的损耗
1、半导体器件的等效电路模型构建
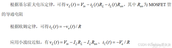
(1)继续以Boost电路为例,前面介绍等效电路建模时,电路中使用的都是单刀双掷开关,但在实际应用中,这些开关都是用半导体器件替代,如下图所示,当然,这些半导体器件并非理想,MOSFET管具有导通电阻,二极管具有导通压降和导通电阻,这些都需要表示在等效电路中。

(2)使用子状态分析法分析使用开关管控制的Boost电路:
①当开关管导通时(对应单刀双掷开关处于位置1):

②当开关管关断时(对应单刀双掷开关处于位置2):


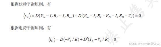
(3)应用稳态下的原则求解使用开关管控制的Boost电路的等效电路回路方程和节点方程:
根据子状态法的结论,可作出电感电压和电容电流的图像,如下图所示


(4)构建使用开关管控制的Boost电路的等效电路:
①根据回路方程可得使用开关管控制的Boost电路的等效电路源端如下图所示。

②根据节点方程可得使用开关管控制的Boost电路的等效电路负端如下图所示。

(5)将Boost电路的源端等效电路和负端等效电路拼接,使用直流变压器替换受控源,即可得到使用直流变压器表示的等效电路。

2、半导体器件的损耗
(1)在构建Boost电路的等效电路模型时,MOSFET管具有导通电阻,二极管具有导通压降和导通电阻,导通电阻引起导通损耗(也即欧姆损耗),导通压降引起压降损耗。
(2)使用Boost电路的等效电路模型计算转换器效率:

六、平均等效电路的准确性和局限性
本章在构建等效模型时频繁地应用了小波纹近似,将电容的电流和电感的电压当作平均值——零值处理,以构建等效电路,用直流分量求解电路中的其它参数,然而,这种方法是有局限性的
以计算电感的损耗为例,电感的电流并不是恒定的,要想求一段时间内电感的损耗,可以根据下式求出电感的RMS电流(即均方根电流),用这个电流根据焦耳定律求解电感的损耗

如果是在平均等效电路中,则只能用电感的平均电流根据焦耳定律求解电感的损耗,如果电感电流的纹波较小,那么这种方法是合适的,但随着纹波逐渐变大,这种方法的误差也会逐渐变大,如下所示


1719

被折叠的 条评论
为什么被折叠?



