三、广义根轨迹
1、参数根轨迹
(1)除根轨迹增益(或开环增益K)以外,其它参量从零变化到无穷大时绘制的根轨迹称为参数根轨迹,其绘制法则与常规根轨迹相同,只需在绘制参数根轨迹之前,引入“等效开环传递函数”(注意,不是“等效根轨迹增益”,没有这个概念),将绘制参数根轨迹的问题转化为绘制
变化时根轨迹的形式来处理。
(2)举例:


2、零度根轨迹
(1)180°根轨迹与零度根轨迹:

(2)零度根轨迹与180°根轨迹的不同之处:


(3)举例:


四、利用根轨迹分析系统性能
1、利用闭环主导极点估算系统的性能指标
(1)如果高阶系统闭环极点满足具有闭环主导极点的分布规律,就可以忽略非主导极点及偶极子的影响,把高阶系统简化为阶数较低的系统,近似估算系统性能指标,如不能化简,则参考第三章中“高阶系统的阶跃响应及动态性能”介绍的零点极点法对性能指标进行估算。
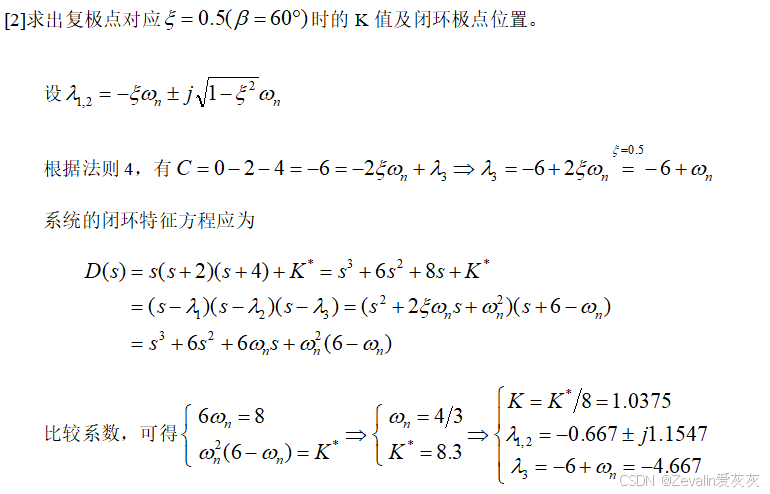
(2)举例:
①例1:已知系统结构图如下图所示







②例2:已知系统结构图如下图所示



2、开环零、极点分布对系统性能的影响
(1)增加一个开环零点会使系统的根轨迹向左偏移,此举可以提高系统的稳定度,有利于改善系统的动态性能,开环负实零点离虚轴越近,这种作用越显著。若增加的开环零点和某个极点重合或距离很近时,构成偶极子,则二者作用还能相互抵消。

(2)增加一个开环极点会使系统的根轨迹向右偏移,此举会降低系统的稳定度,不利于改善系统的动态性能,而且开环负实极点离虚轴越近,这种作用越显著。

(3)举例:


6235

被折叠的 条评论
为什么被折叠?



