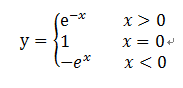
题目描述
编程计算下面的分段函数,根据从键盘输入的x的值,在屏幕上输出y的值。

测试说明
测试样例1:

测试样例2:

测试样例3:

其中: 黑色字体为输出内容; 红色字体为输入内容; 所有标点符号均为英文标点。
提示:x设置为int类型,y设置为double类型
代码实现
#include <stdio.h>
#include <math.h>
#include <iostream>
usiing namespace std;
int main()
{
int x;
double y;
printf("Input x: y=");
scanf("%d", &x);
if (x >= 0)
{
x = -x;
y = exp(x);
printf("%f", y);
}
else
{
y = -exp(x);
printf("%f", y);
return 0;
}
}
本文介绍如何使用C++编写一个程序,实现根据用户输入的x值计算分段函数y值,包括正数和负数区间的不同处理。通过exp函数实现指数运算,并给出了三个测试样例来展示程序功能。
3795

被折叠的 条评论
为什么被折叠?



