给你链表的头节点 head ,每 k 个节点一组进行翻转,请你返回修改后的链表。
k 是一个正整数,它的值小于或等于链表的长度。如果节点总数不是 k 的整数倍,那么请将最后剩余的节点保持原有顺序。
你不能只是单纯的改变节点内部的值,而是需要实际进行节点交换。
示例 1:

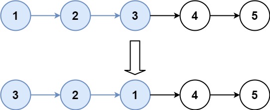
输入:head = [1,2,3,4,5], k = 2 输出:[2,1,4,3,5]
示例 2:

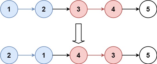
输入:head = [1,2,3,4,5], k = 3 输出:[3,2,1,4,5]
提示:
- 链表中的节点数目为
n 1 <= k <= n <= 50000 <= Node.val <= 1000
关键词:头插法
思路:首先遍历一遍链表,确定节点数目n,从而确定翻转的组数cycles。对于每一组待翻转的节点,使用头插法的方式,开设一个空指针q,依次遍历该组中的节点(共计k次),将q赋值给当前节点p的next,随后令q=p,为下一个节点的插入做准备。同时,为了不丢失原本p的下一个节点,使用临时指针tmp记录下p->next,使p能够实现向后遍历。
在一组节点翻转完成后,q指向当前组的首个节点,此时注意要将该节点连接在上一个翻转完成组的最后一个节点后面。为此,在一开始就需要用一个指针pre来保存下这个节点。此时令pre->next=q即可。事实上,pre指针的作用就是始终指向当前组的前一个节点,保证组与组之间始终相连。连接完成后,用tail更新pre,tail是在本组翻转前保存的组头节点,在翻转完成后变为组尾节点。哑节点的引入也是为了统一这样的操作。
个人觉得本题的技巧性其实不强,算法的核心就是头插法实现翻转。需要注意的是如何保证组间的连接,为此开辟了多个指针,容易引起混乱。
题解如下:
/**
* Definition for singly-linked list.
* struct ListNode {
* int val;
* struct ListNode *next;
* };
*/
struct ListNode* reverseKGroup(struct ListNode* head, int k) {
struct ListNode *dummyHead = (struct ListNode *)malloc(sizeof(struct ListNode));
dummyHead->next = NULL;
struct ListNode *pre = dummyHead, *p = head;
int size = 0;
while(p != NULL) {
p = p->next;
size++;
}
p = head;
int cycles = size / k;
for(int i = 0; i < cycles; i++) {
struct ListNode *q = NULL, *tail = p;
int cnt = k;
while(cnt--) {
struct ListNode *temp = p->next;
p->next = q;
q = p;
p = temp;
}
pre->next = q;
pre = tail;
}
pre->next = p;
return dummyHead->next;
}
该方法在空间复杂度上表现不佳。
1219

被折叠的 条评论
为什么被折叠?



