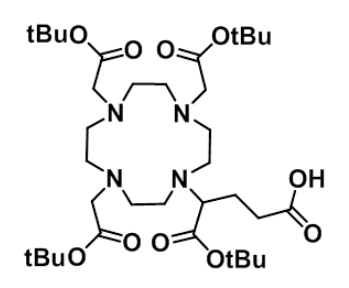
名称:DOTAGA-tetra (t-Bu ester)
2-[1,4,7,10-Tetraazacyclododecane-4,7,10-tris(t-butyl acetate)]-pentanedioic acid-1t-butyl ester
CAS NO: 306776-79-4
分子式:C35H64N4O10
分子量:700.9
外 观:白色或者淡黄色固体
保存条件:0-4°C
结构式:

其他相关化合物:
CAS:1370442-99-1 p-SCN-Bn-oxo-DO3A
CAS:142131-37-1 p-NH2-Bn-NOTA
CAS:147597-66-8 p-SCN-Bn-NOTA
CAS:2125661-91-6 NO2A-Butyne-bis (t-Butyl ester)
CAS:1161415-28-6 NOTA-bis(t-Bu ester)
CAS:1295584-83-6 Maleimido-mono-amide-NOTA
CAS:2089035-56-1 NO2A-Butyne
CAS:2125661-92-7 NO2A-Azide
CAS:438553-50-3 NODAGA-tris(t-Bu ester)
CAS:1222468-90-7 p-SCN-Bn-Deferoxamine
CAS:1638156-31-6 Deferoxamine-maleimide
CAS:180978-54-5 DOTA-Biotin-Sarcosine
CAS:2125661-93-8 DO3A-Serotonin
CAS:177943-89-4 DOTATATE
CAS:30859-88-8 Tm-DOTP
CAS:2126179-30-2 Tm-DOTMA
CAS:481668-57-9 Eu-DOTA-4AmC
CAS:2126179-32-4 Tm-p-SCN-Bn-DOTA
CAS:2126179-26-6 Gd-p-SCN-Bn-DOTA
CAS:2126179-28-8 Ho-p-SCN-Bn-DOTA
CAS:1552305-24-4 Tm-Maleimido-DOTA
CAS:1349103-97-4 Ho-Maleimido-DOTA
CAS:782423-00-1 Gd-DO3A-Butylamine
CAS:162148-45-0 Bis-CBZ-Cyclen
CAS:175854-39-4 Tris-BOC-Cyclen
CAS:174137-97-4 NO2A-(t-Bu ester)
CAS:162148-48-3 DO2A-tert-butyl ester
CAS:122555-91-3 DO3A-tert-butyl ester
CAS:137076-54-1 DOTA-tris(tBu)ester
CAS:306776-79-4 DOTA-GA(tBu)4
CAS:819869-77-7 DOTA tris(tBu)ester NHS ester
CAS:1006711-09-5 Maleimide-DOTA
Deferoxamine-DBCO
以上信息均由陕西新研博美生物科技有限公司提供技术支持
本文详细介绍了金属有机骨架材料DOTAGA-tetra(t-Buester)的化学信息,包括CAS号、分子式、分子量及外观等,并给出了其结构式。同时列举了多个相关化合物的CAS号、名称和结构,这些化合物涉及不同的配体和金属离子,如NOTA、DOTA等。资料由陕西新研博美生物科技有限公司提供技术支持。
631

被折叠的 条评论
为什么被折叠?



