给定二叉搜索树(BST)的根节点 root 和一个整数值 val。
你需要在 BST 中找到节点值等于 val 的节点。 返回以该节点为根的子树。 如果节点不存在,则返回 null 。
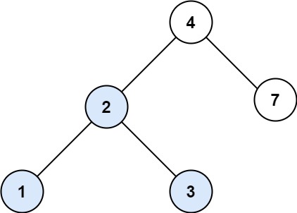
示例 1:

输入:root = [4,2,7,1,3], val = 2
输出:[2,1,3]
示例 2:

输入:root = [4,2,7,1,3], val = 5
输出:[]
提示:
数中节点数在 [1, 5000] 范围内
1 <= Node.val <= 107
root 是二叉搜索树
1 <= val <= 107
struct TreeNode* searchBST(struct TreeNode* root, int val){
if(!root) return NULL;
if(root->val==val) {
return root;
}
if(root->val<val) {
return searchBST(root->right,val);
}
else {
return searchBST(root->left,val);
}
}
给定一个二叉搜索树的根节点和一个整数值,函数需找到节点值等于该整数的节点,并返回以此节点为根的子树。如果找不到相应节点,则返回空。提供的C语言代码实现了这一功能,通过递归遍历BST来查找目标节点。

被折叠的 条评论
为什么被折叠?



