写在前面:
虽然该部分内容属于基础中的基础,然而学习中会有“熟知≠真知”的情况,故决心写下笔记。本文着重对简单原理的详细推导,对你在免费文章和课程中不涉及的“坑”进行细致地数学剖析,结合自己做的图示,通过问题带动思考的引导方式系统地进行分情况讨论等……更加适合专业人士复习和初学者学习!
一、准备工作:
1.1认清几个事实:
(I).数字图像在计算机中是以矩阵形式储存,其行列下角标从0开始;
(II).矩阵中每个元素中储存对应数字图像中的像素值(可能不只一个通道);
(III).矩阵中元素信息对应数字图像对应位置中的位置和像素值信息,却不包含实际图像中像素点本身大小。
(IV).将图像放置于坐标系中,y轴正方向向下,x轴正方向向右。
1.2提出几个设定:
(I).下述讨论中,为了便于理解,假设所有图像中的像素点均为边长1的正方形
(II).原图像尺寸(H=m, W=n),原图像矩阵

![]()
(III).原图像中各点像素值(矩阵中元素值)与位置坐标满足映射![]()

图 1 数字图像与对应矩阵图示
二、坐标变换讨论:
2.1 原图像、目标图像和插值点阵
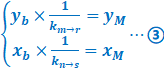
设:目标图像尺寸(H=r, W=s), 图像矩阵

![]()
因此y方向(即H方向)变换比例为
,
同理x方向(即W方向)变换比例为
。
那么在进行插值之前,我们就要试图找到图像B中各像素点与图像A中各像素点的“某种’位置’对应关系”,在此对应关系基础上,才可以应用插值算法。
那么位置对应关系如何建立?
我们很自然地认为只需要将B中像素坐标

即可得到
作为
的插值点并与A中相关的4个点进行插值运算得到像素值。
但是!请稍作思考,我们就会发现由于1.1(I)(即A、B矩阵中元素下角标规律)和1.2(I)的存在,图像尺寸之间的比例缩放与坐标换算之间存在差异,这种差异会导致我们的坐标按照③式变换后得到B的插值点阵
的坐标偏向左上角且与A于左上角对齐。这种“不对称”会给插值结果带来“不可接受”的偏差,因此我们需要消除。
那么,
的坐标到底要如何做?

图 2 缩放前后数字图像与对应矩阵图示

图 3 图像B经比例变换后的点阵M与其矩阵图示

本文深入探讨了双线性插值方法,特别关注图像坐标变换、比例缩放与矩阵坐标的关系。通过对坐标平移的讨论,解决了坐标不对齐导致的插值偏差问题,适合图像处理和计算机视觉领域的专业人士及初学者学习。
最低0.47元/天 解锁文章
1182





