题目
给你二叉树的根节点 root ,请你采用前序遍历的方式,将二叉树转化为一个由括号和整数组成的字符串,返回构造出的字符串。
空节点使用一对空括号对 "()" 表示,转化后需要省略所有不影响字符串与原始二叉树之间的一对一映射关系的空括号对。
示例 1:

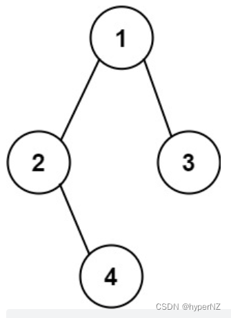
输入:root = [1,2,3,4]
输出:"1(2(4))(3)"
解释:初步转化后得到 "1(2(4)())(3()())" ,但省略所有不必要的空括号对后,字符串应该是"1(2(4))(3)" 。
示例 2:

输入:root = [1,2,3,null,4]
输出:"1(2()(4))(3)"
解释:和第一个示例类似,但是无法省略第一个空括号对,否则会破坏输入与输出一一映射的关系。
提示:
树中节点的数目范围是 [1, 10^4]
-1000 <= Node.val <= 1000
思路
该问题就是一个二叉树先序遍历问题。
- “遍历”将节点值拼成一个大字符串。
- 括号问题:
- 该节点左树和右树都是空,两个子树(空树)括号都能省略。
- 该节点左树不空,右树为空,可省略右树的空括号。
- 该节点左树空,右树不空,不可省略左树的空括号。

代码
/**
* Definition for a binary tree node.
* public class TreeNode {
* int val;
* TreeNode left;
* TreeNode right;
* TreeNode() {}
* TreeNode(int val) { this.val = val; }
* TreeNode(int val, TreeNode left, TreeNode right) {
* this.val = val;
* this.left = left;
* this.right = right;
* }
* }
*/
class Solution {
StringBuilder sb = new StringBuilder();
public String tree2str(TreeNode root) {
if(root == null) {
return " ";
}
preOrder(root);
return sb.toString();
}
private void preOrder(TreeNode root) {
//边界
if(root == null) {
return;
}
//根
sb.append(root.val);
//左
if(root.left != null) {
sb.append("(");
//先序遍历左树
preOrder(root.left);
sb.append(")");
} else {
//左空,判断右树是否为空
if(root.right != null) {
sb.append("()");
}
}
//右
if(root.right != null) {
sb.append("(");
preOrder(root.right);
sb.append(")");
}
}
}
该问题要求使用前序遍历将二叉树转化为特定格式的字符串,空节点用括号表示,并在不影响映射关系的前提下省略空括号对。解决方案是通过递归实现先序遍历,根据节点的左右子树情况添加或省略括号。
491

被折叠的 条评论
为什么被折叠?



