题目
给定一个二叉树的根节点 root ,返回 它的 中序 遍历 。
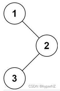
示例 1:

输入:root = [1,null,2,3]
输出:[1,3,2]
示例 2:
输入:root = []
输出:[]
示例 3:
输入:root = [1]
输出:[1]
提示:
树中节点数目在范围 [0, 100] 内
-100 <= Node.val <= 100
进阶: 递归算法很简单,你可以通过迭代算法完成吗?
思路1:递归
代码1
/**
* Definition for a binary tree node.
* public class TreeNode {
* int val;
* TreeNode left;
* TreeNode right;
* TreeNode() {}
* TreeNode(int val) { this.val = val; }
* TreeNode(int val, TreeNode left, TreeNode right) {
* this.val = val;
* this.left = left;
* this.right = right;
* }
* }
*/
class Solution {
List<Integer> ret = new LinkedList<>();
public List<Integer> inorderTraversal(TreeNode root) {
if(root == null) {
return ret;
}
inorderTraversal(root.left);
ret.add(root.val);
inorderTraversal(root.right);
return ret;
}
}
思路2:非递归,迭代,栈

代码2
/**
* Definition for a binary tree node.
* public class TreeNode {
* int val;
* TreeNode left;
* TreeNode right;
* TreeNode() {}
* TreeNode(int val) { this.val = val; }
* TreeNode(int val, TreeNode left, TreeNode right) {
* this.val = val;
* this.left = left;
* this.right = right;
* }
* }
*/
class Solution {
public List<Integer> inorderTraversal(TreeNode root) {
List<Integer> ret = new LinkedList<>();
if(root == null) {
return ret;
}
Stack<TreeNode> stack = new Stack<>();
TreeNode cur = root;
while(cur != null || (!stack.isEmpty())) { //最开始时还没入栈,栈为空,不可去掉,否则都入不了循环
//一路向左走一直走到最左侧的最后一个节点
while(cur != null) { //cur表示当前要访问的节点
stack.push(cur);
cur = cur.left;
}
//当前左树已经全部入栈
cur = stack.pop();
//此时访问根节点
ret.add(cur.val);
//继续访问右子树
cur = cur.right;
}
return ret;
}
}
该文介绍了如何对二叉树进行中序遍历,提供了两种方法:一种是使用递归算法,另一种是利用栈实现的非递归迭代算法。两种方法均能有效地遍历树节点,返回中序遍历顺序。递归方案直接而简洁,迭代方案则避免了递归带来的额外开销。
1186

被折叠的 条评论
为什么被折叠?



