目录
一、Leetcode24(两两交换链表中的节点)
题目描述
给你一个链表,两两交换其中相邻的节点,并返回交换后链表的头节点。你必须在不修改节点内部的值的情况下完成本题(即,只能进行节点交换)。
输入:head = [1,2,3,4]
输出:[2,1,4,3]
输入:head = []
输出:[]
输入:head = [1]
输出:[1]
题目链接:力扣题目链接
解题思路
- 虚拟头结点
方法:虚拟头结点
- 因为要操作头结点,所以要新建虚拟头结点
- 操作哪个节点,哪个节点就是cur.next
- cur的循环条件要分奇偶情况(奇数情况最后一个不交换)

# Definition for singly-linked list.
# class ListNode(object):
# def __init__(self, val=0, next=None):
# self.val = val
# self.next = next
class Solution(object):
def swapPairs(self, head):
"""
:type head: ListNode
:rtype: ListNode
"""
dummy_head = ListNode()
dummy_head.next = head
cur = dummy_head
while cur.next != None and cur.next.next != None: # 分奇偶情况
temp = cur.next # 找不到下一个节点,就提前存起来!
temp_ = cur.next.next.next
cur.next = cur.next.next
cur.next.next = temp
cur.next.next.next = temp_
cur = cur.next.next
return dummy_head.next
总结
- 操作头结点,一定要有虚拟头结点
- 操作哪个节点,那个节点就是cur.next
- 指针变化后找不到的节点提前用temp储存好
- 注意空指针异常的报错问题!(没有None.next!)
二、Leetcode19(删除链表的倒数第N个节点)
题目描述
给你一个链表,删除链表的倒数第 n 个结点,并且返回链表的头结点。
输入:head = [1,2,3,4,5], n = 2
输出:[1,2,3,5]
输入:head = [1], n = 1
输出:[]
输入:head = [1,2], n = 1
输出:[1]
题目链接:力扣题目链接
解题思路
- 数学思路,删倒数第n个,就知道是删正数第几个了
- 双指针思想
方法一:数学法
- 求得链表的长度len
- 将cur走到删除元素的前一位置
- 删除链表cur.next = cur.next.next
# Definition for singly-linked list.
# class ListNode(object):
# def __init__(self, val=0, next=None):
# self.val = val
# self.next = next
class Solution(object):
def removeNthFromEnd(self, head, n):
"""
:type head: ListNode
:type n: int
:rtype: ListNode
"""
dummy_head = ListNode()
dummy_head.next = head
cur = dummy_head
len = 0
# 把链表长度len计算出来
while cur.next:
len += 1
cur = cur.next
# 让cur走到删除元素的前一位置
cur = dummy_head
num = len - n
while num:
cur = cur.next
num -= 1
cur.next = cur.next.next
return dummy_head.next
方法二:双指针法
- 使用fast,slow指针
- 当fast走到None,slow走到删除节点的前一个,两者之间相差n+1!!!
- fast先走n+1步,然后fast,slow再同时走
- 最后删除结点slow.next = slow.next.next

# Definition for singly-linked list.
# class ListNode(object):
# def __init__(self, val=0, next=None):
# self.val = val
# self.next = next
class Solution(object):
def removeNthFromEnd(self, head, n):
"""
:type head: ListNode
:type n: int
:rtype: ListNode
"""
dummy_head = ListNode()
dummy_head.next = head
# 让cur走到删除元素的前一位置
# fast和slow之间相差n+1(因为fast走到链表最后None)
fast = dummy_head
slow = dummy_head
while n >= 0:
fast = fast.next
n -= 1
# fast和slow同时移动
while fast != None:
fast = fast.next
slow = slow.next
slow.next = slow.next.next
return dummy_head.next
总结
- 可能改变头指针的,都要新建虚拟头指针
- return dummy_head.next很好用!!!
- 求链表长度需要遍历累加
- 双指针思想很重要
三、Leetcode面试题02.07. (链表相交)
题目描述
给你两个单链表的头节点 headA 和 headB ,请你找出并返回两个单链表相交的起始节点。如果两个链表没有交点,返回 null 。

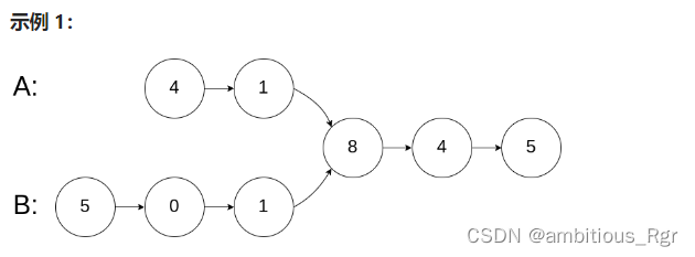
输入:intersectVal = 8, listA = [4,1,8,4,5], listB = [5,0,1,8,4,5], skipA = 2, skipB = 3
输出:Intersected at '8'
解释:相交节点的值为 8 (注意,如果两个链表相交则不能为 0)。
从各自的表头开始算起,链表 A 为 [4,1,8,4,5],链表 B 为 [5,0,1,8,4,5]。
在 A 中,相交节点前有 2 个节点;在 B 中,相交节点前有 3 个节点。

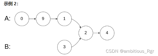
输入:intersectVal = 2, listA = [0,9,1,2,4], listB = [3,2,4], skipA = 3, skipB = 1
输出:Intersected at '2'
解释:相交节点的值为 2 (注意,如果两个链表相交则不能为 0)。
从各自的表头开始算起,链表 A 为 [0,9,1,2,4],链表 B 为 [3,2,4]。
在 A 中,相交节点前有 3 个节点;在 B 中,相交节点前有 1 个节点。

输入:intersectVal = 0, listA = [2,6,4], listB = [1,5], skipA = 3, skipB = 2
输出:null
解释:从各自的表头开始算起,链表 A 为 [2,6,4],链表 B 为 [1,5]。
由于这两个链表不相交,所以 intersectVal 必须为 0,而 skipA 和 skipB 可以是任意值。
这两个链表不相交,因此返回 null 。
题目链接:力扣题目链接
解题思路
- 想清楚相交链表的概念,相交节点后全部对齐
- 相交的起始点怎么找,尾部对齐!!
方法:双指针法
- 计算两个链表的长度len
- 长链表的cur先走dis步(两链表长度差->尾部对齐)
- 两个链表的cur同时走,相等的第一个节点就是起始点
# Definition for singly-linked list.
# class ListNode(object):
# def __init__(self, x):
# self.val = x
# self.next = None
class Solution(object):
def getIntersectionNode(self, headA, headB):
"""
:type head1, head1: ListNode
:rtype: ListNode
"""
# 计算两个链表长度
lena, lenb = 0, 0
cura, curb = headA, headB
while cura:
cura = cura.next
lena += 1
while curb:
curb = curb.next
lenb += 1
# 长链表先走dis步
cura, curb = headA, headB
if lena > lenb:
for i in range(lena - lenb):
cura = cura.next
else:
for i in range(lenb - lena):
curb = curb.next
# cura,curb同时走
while cura and curb:
if cura == curb:
return cura
cura = cura.next
curb = curb.next
return None
总结
- 链表相交的节点不是数值相等,是节点相等!!!(值相等,也有可能内存不一样所以不相交)
- 相交链表从相交节点之后全部对齐
- 尾部对齐方法
四、Leetcode142(环形链表II)
题目描述
给定一个链表的头节点 head ,返回链表开始入环的第一个节点。 如果链表无环,则返回 null。
如果链表中有某个节点,可以通过连续跟踪 next 指针再次到达,则链表中存在环。 为了表示给定链表中的环,评测系统内部使用整数 pos 来表示链表尾连接到链表中的位置(索引从 0 开始)。如果 pos 是 -1,则在该链表中没有环。注意:pos 不作为参数进行传递,仅仅是为了标识链表的实际情况。
不允许修改 链表。

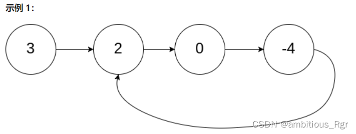
输入:head = [3,2,0,-4], pos = 1
输出:返回索引为 1 的链表节点
解释:链表中有一个环,其尾部连接到第二个节点。

输入:head = [1,2], pos = 0
输出:返回索引为 0 的链表节点
解释:链表中有一个环,其尾部连接到第一个节点。

输入:head = [1], pos = -1
输出:返回 null
解释:链表中没有环。
题目链接:力扣题目链接
解题思路
- 怎么证明链表有环
- 怎么求入环的起始点
方法:双指针法
- 如果快慢指针会相遇,则证明有环!(环形追及问题)
- 相遇节点和头节点到入环节点的距离相等!(x=z)
证明如下:

slow = x+y
fast = x+n(y+z)+y
因为fast一次走两个,slow一次走一个
所以2slow = fast
2(x+y) = x + n(y+z) +y
化简得: x = n(y+z) -y
x = (n-1)(y+z) +z
如果n=1时,相当于fast领先一圈,此时x=z
所以找到相遇节点就能求入环节点了!
# Definition for singly-linked list.
# class ListNode(object):
# def __init__(self, x):
# self.val = x
# self.next = None
class Solution(object):
def detectCycle(self, head):
"""
:type head: ListNode
:rtype: ListNode
"""
fast = head
slow = head
while fast != None and fast.next != None:
fast = fast.next.next
slow = slow.next
# 快慢指针相遇
if fast == slow:
# 因为x=z,temp1/temp2相遇后的位置就是入环点
temp1 = head
temp2 = fast
while temp1 != temp2:
temp1 = temp1.next
temp2 = temp2.next
return temp1
return None
总结
- 相遇追及问题转化成数学表示
- 链表有环->快慢指针会相遇
- 入环节点->用x=z去求
心得:坚持到Day4了,感觉链表问题还是挺有意思的! 特别是环形链表还涉及到了数学问题~链表问题多画图!!!
本文详细介绍了四个LeetCode上的链表题目,包括两两交换链表节点、删除链表倒数第N个节点、链表相交以及寻找环形链表的入口节点。解题方法主要使用了虚拟头结点和双指针法,强调了链表操作的关键点和技巧。

被折叠的 条评论
为什么被折叠?



