MIT 6.828 lab1 exercises 4 pointers.c 图文详解
资源以及配置
链接:MIT 6.828 lab1
pointers.c 代码如下
#include <stdio.h>
#include <stdlib.h>
void
f(void)
{
int a[4];
int *b = malloc(16);
int *c;
int i;
printf("1: a = %p, b = %p, c = %p\n", a, b, c);
c = a;
for (i = 0; i < 4; i++)
a[i] = 100 + i;
c[0] = 200;
printf("2: a[0] = %d, a[1] = %d, a[2] = %d, a[3] = %d\n",
a[0], a[1], a[2], a[3]);
c[1] = 300;
*(c + 2) = 301;
3[c] = 302;
printf("3: a[0] = %d, a[1] = %d, a[2] = %d, a[3] = %d\n",
a[0], a[1], a[2], a[3]);
c = c + 1;
*c = 400;
printf("4: a[0] = %d, a[1] = %d, a[2] = %d, a[3] = %d\n",
a[0], a[1], a[2], a[3]);
c = (int *) ((char *) c + 1);
*c = 500;
printf("5: a[0] = %d, a[1] = %d, a[2] = %d, a[3] = %d\n",
a[0], a[1], a[2], a[3]);
b = (int *) a + 1;
c = (int *) ((char *) a + 1);
printf("6: a = %p, b = %p, c = %p\n", a, b, c);
}
int
main(int ac, char **av)
{
f();
return 0;
}
我们可以将它运行在linux上,具体如何运行,给出几个关键字,ubuntu安装,gcc安装以及编译,vim/gedit使用
结果

解析
代码第7,8,9,10行初始化了4个变量
第7行申请了一个数组,如图所示
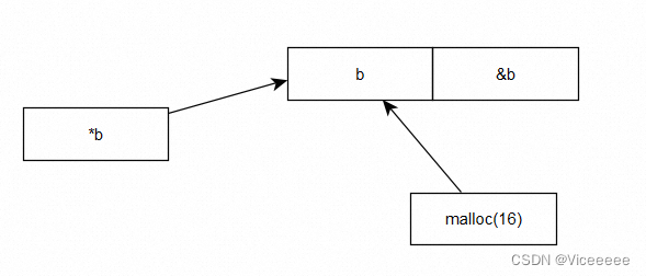
第8行申请了一个指针b指向了malloc(16)所返回的指针,如图所示

第九行则是申请了一个指针c,如下图所示

如上图所示,*c代表着一个链接,它指向的是指针的整体,而这个整体又分为数据域©和地址域(&c),数据域为存放其数据的地方,是可以进行修改的,可以改变的,而地址域则是固定的,基本上所有的指针都是这么表示的,可以往这个图内套
第12行的printf则是代表着打印这3个指针的首地址。
第十三行的c = a,如下图所示

如上图所示,第十三行代码为c = a,则是意味着,c的数据域,指向了a所指向的数组,就是如上图的1,指向了
新的改变
我们对Markdown编辑器进行了一些功能拓展与语法支持,除了标准的Markdown编辑器功能,我们增加了如下几点新功能,帮助你用它写博客:
- 全新的界面设计 ,将会带来全新的写作体验;
- 在创作中心设置你喜爱的代码高亮样式,Markdown 将代码片显示选择的高亮样式 进行展示;
- 增加了 图片拖拽 功能,你可以将本地的图片直接拖拽到编辑区域直接展示;
- 全新的 KaTeX数学公式 语法;
- 增加了支持甘特图的mermaid语法1 功能;
- 增加了 多屏幕编辑 Markdown文章功能;
- 增加了 焦点写作模式、预览模式、简洁写作模式、左右区域同步滚轮设置 等功能,功能按钮位于编辑区域与预览区域中间;
- 增加了 检查列表 功能。
功能快捷键
撤销:Ctrl/Command + Z
重做:Ctrl/Command + Y
加粗:Ctrl/Command + B
斜体:Ctrl/Command + I
标题:Ctrl/Command + Shift + H
无序列表:Ctrl/Command + Shift + U
有序列表:Ctrl/Command + Shift + O
检查列表:Ctrl/Command + Shift + C
插入代码:Ctrl/Command + Shift + K
插入链接:Ctrl/Command + Shift + L
插入图片:Ctrl/Command + Shift + G
查找:Ctrl/Command + F
替换:Ctrl/Command + G
合理的创建标题,有助于目录的生成
直接输入1次#,并按下space后,将生成1级标题。
输入2次#,并按下space后,将生成2级标题。
以此类推,我们支持6级标题。有助于使用TOC语法后生成一个完美的目录。
如何改变文本的样式
强调文本 强调文本
加粗文本 加粗文本
标记文本
删除文本
引用文本
H2O is是液体。
210 运算结果是 1024.
插入链接与图片
链接: link.
图片: 
带尺寸的图片: ![]()
居中的图片: 
居中并且带尺寸的图片: ![]()
当然,我们为了让用户更加便捷,我们增加了图片拖拽功能。
如何插入一段漂亮的代码片
去博客设置页面,选择一款你喜欢的代码片高亮样式,下面展示同样高亮的 代码片.
// An highlighted block
var foo = 'bar';
生成一个适合你的列表
- 项目
- 项目
- 项目
- 项目
- 项目1
- 项目2
- 项目3
- 计划任务
- 完成任务
创建一个表格
一个简单的表格是这么创建的:
| 项目 | Value |
|---|---|
| 电脑 | $1600 |
| 手机 | $12 |
| 导管 | $1 |
设定内容居中、居左、居右
使用:---------:居中
使用:----------居左
使用----------:居右
| 第一列 | 第二列 | 第三列 |
|---|---|---|
| 第一列文本居中 | 第二列文本居右 | 第三列文本居左 |
SmartyPants
SmartyPants将ASCII标点字符转换为“智能”印刷标点HTML实体。例如:
| TYPE | ASCII | HTML |
|---|---|---|
| Single backticks | 'Isn't this fun?' | ‘Isn’t this fun?’ |
| Quotes | "Isn't this fun?" | “Isn’t this fun?” |
| Dashes | -- is en-dash, --- is em-dash | – is en-dash, — is em-dash |
创建一个自定义列表
-
Markdown
- Text-to- HTML conversion tool Authors
- John
- Luke
如何创建一个注脚
一个具有注脚的文本。2
注释也是必不可少的
Markdown将文本转换为 HTML。
KaTeX数学公式
您可以使用渲染LaTeX数学表达式 KaTeX:
Gamma公式展示 Γ ( n ) = ( n − 1 ) ! ∀ n ∈ N \Gamma(n) = (n-1)!\quad\forall n\in\mathbb N Γ(n)=(n−1)!∀n∈N 是通过欧拉积分
Γ ( z ) = ∫ 0 ∞ t z − 1 e − t d t . \Gamma(z) = \int_0^\infty t^{z-1}e^{-t}dt\,. Γ(z)=∫0∞tz−1e−tdt.
你可以找到更多关于的信息 LaTeX 数学表达式here.
新的甘特图功能,丰富你的文章
- 关于 甘特图 语法,参考 这儿,
UML 图表
可以使用UML图表进行渲染。 Mermaid. 例如下面产生的一个序列图:
这将产生一个流程图。:
- 关于 Mermaid 语法,参考 这儿,
FLowchart流程图
我们依旧会支持flowchart的流程图:
- 关于 Flowchart流程图 语法,参考 这儿.
导出与导入
导出
如果你想尝试使用此编辑器, 你可以在此篇文章任意编辑。当你完成了一篇文章的写作, 在上方工具栏找到 文章导出 ,生成一个.md文件或者.html文件进行本地保存。
导入
如果你想加载一篇你写过的.md文件,在上方工具栏可以选择导入功能进行对应扩展名的文件导入,
继续你的创作。
注脚的解释 ↩︎
博客围绕C语言代码和Markdown编辑器展开。解析了pointers.c代码在Linux上的运行,包括变量初始化、指针操作等。还介绍了Markdown编辑器的新功能,如界面设计、代码高亮、图片拖拽等,以及各类操作的快捷键和语法。
391

被折叠的 条评论
为什么被折叠?



