第一作者:Liu Yang, Yaolong Li, Jinglin Tang, Zhanke Zhou
通讯作者:李耀龙,吕国伟,童利民
通讯单位:浙江大学、北京大学
文章链接:
https://www.nature.com/articles/s41377-025-01951-6
导读
近日,浙江大学的童利民教授、北京大学的吕国伟副教授与李耀龙博士(共同通讯作者)利用光发射电子显微镜(photoemission electron microscopy, PEEM)首次拍摄了1纳米ZnO线对的准三维光场成像,在Light: Science & Applications 在线发表题为“Weak-disturbance imaging and characterization of ultra-confined optical near fields”的研究论文。文中设计并制备了一种最小间隔为1 nm的ZnO纳米线对,实现了强局域光场。利用PEEM对光场扰动低的特点,通过调整焦平面,首次拍摄了这种局域光场的三维立体图像。此外,这种局域光场对器件质量要求苛刻,尺寸、弯曲、污染等都会降低光场质量。
01 研究背景
追求具有更强空间局限性的光学场始终是重要的基础性课题,也是推动从非线性光学过程到超分辨率显微镜等广泛光学技术突破极限的关键一步。近年来,研究人员在金属和介质纳米结构中均实现了超局限光学场,其场局限性可达亚10纳米甚至亚1纳米的原子尺度水平。但是,传统扫描近场光学显微镜因探针对光场的扰动,在表征亚10纳米局域光场时面临挑战。
02 核心内容解读
1.ZnO 纳米线对和PEEM装置
要点快读:
Yang 等人采用 自下而上 气-液-固 法 (the bottom-up vapor-liquid-solid method)制备了原子级粗糙度的ZnO六边形纳米线对(图1a和 图S1)。每根纳米线的直径约为273 nm,线对最小间隔为 1 nm(图 1c-d),为构建强局域光场提供了良好的光腔(图1e-f)。同时,这种线对组合,使带隙提高至 5.3 eV。这需要双光子的吸收,电子才能克服功函数完成发射过程,从而利用发射的电子进行成像(图1g和图S3,光发射电子显微镜,Photoemission electron microscopy, PEEM)。

图1 ZnO耦合纳米线对(CNPs)的表征及光发射电子显微镜(PEEM)装置
2.纳米线对的驻波
要点快读:
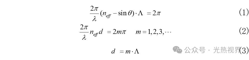
虽然纳米线对理论上可以存在四种模式,但是通过调整入射光的角度及其偏振,可以实现腔内纯净的类TE0模式。这类模式在纳米线对中以驻波的形式存在。在正入射(θ=0°)条件下,笔者重新改写文中的公式,可以得到

其中,neff是模式的等效折射率。根据公式(3),随着d的增加,沿着x轴方向,会出现一系列的亮点(图2 a-b, f-g)。周期为250 nm左右(图2c)。y轴的模式半峰宽为40 nm(图2d)。

图2 纳米线对的近场成像
3.准三维光场的成像以及影响光腔质量的因素
要点快读:
此外,Yang et al. 还制备了双纳米线对,利用PEEM观察了不同偏振下的模式;实验和模拟一致(图3)。通过调整PEEM的焦平面,直观地展示了模场的三维立体分布,进一步证实了模式最大强度处在1 nm光腔中(图4)。由于这种模式的强度对器件尺寸要求苛刻,距离过大(图5a 和图S13)、污染(图5b)以及弯曲(图5c)均会严重降低腔的质量,造成光场强度衰减,最终呈现低对比度图像。

图3 三根纳米线的近场模式

图4 纳米线对中的准三维光场

图5 利用PEEM对器件缺陷进行表征
03 结论与展望
综上所述,利用PEEM的微扰性弱与高空间分辨成像能力,作者首次成功实现了对纳米狭缝中超局域光学近场的近场成像与表征。通过沉积原子层厚度的铯以降低功函数,工作波长可从可见光扩展至近红外光谱。此外,利用具有飞秒级分辨率的时域PEE,可研究超局域光学近场的动力学特性。
重要参考文献:
[1]Science354, 726–729 (2016).
[2]Nature Photonics 14, 693–699 (2020)
[3]Nature 624, 57–63 (2023)
[4]Nature 632, 287–2293 (2024)
文章信息
Yang, L., Li, Y., Tang, J.et al. Weak-disturbance imaging and characterization of ultra-confined optical near fields. Light Sci Appl 14, 358 (2025).
DOI: https://doi.org/10.1038/s41377-025-01951-6
转载来源:光热视界
免责声明:转载此文目的在于传递更多信息,仅供读者学习、交流之目的。如有侵权,请联系删除
1574

被折叠的 条评论
为什么被折叠?



