【算法专题训练】34、前缀树

1、前缀树基础

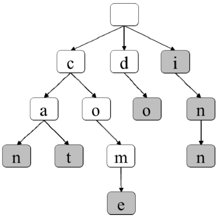
前缀树又称为字典树,它用一个树状的数据结构存储一个字典中的所有单词,如图

在这里插入图片描述
  • 前缀树是一棵多叉树,一个节点可能有多个子节点,字典树的话子节点最多为26个(26个英文单词)。
  • 前缀树中除根节点外,每个节点表示字符串中的一个字符,而字符串由前缀树的路径表示。
  • 前缀树的根节点不表示任何字符

前缀树路径

  • 字符串在前缀树中的路径并不一定终止于叶节点。如果一个单词时另一个单词的前缀,那么较短的单词对应的路径是较长的单词对应的路径的一部分。
  • 如果前缀树路径到达某个节点时表示了一个完整的字符串,则字符串最后一个字符对应的结点有特殊的标识。

2、LCR 062. 实现 Trie (前缀树)

题目信息:

  • https://leetcode.cn/problems/QC3q1f/description/
Trie(发音类似 "try")或者说 前缀树 是一种树形数据结构,用于高效地存储和检索字符串数据集中的键。这一数据结构有相当多的应用情景,例如自动补完和拼写检查。

请你实现 Trie 类:
Trie() 初始化前缀树对象。
void insert(String word) 向前缀树中插入字符串 word 。
boolean search(String word) 如果字符串 word 在前缀树中,返回 true(即,在检索之前已经插入);否则,返回 false 。
boolean startsWith(String prefix) 如果之前已经插入的字符串 word 的前缀之一为 prefix ,返回 true ;否则,返回 false 。

示例:
输入
inputs = ["Trie", "insert", "search", "search", "startsWith", "insert", "search"]
inputs = [[], ["apple"], ["apple"], ["app"], ["app"], ["app"], ["app"]]
输出
[null, null, true, false, true, null, true]

解释
Trie trie = new Trie();
trie.insert("apple");
trie.search("apple");   // 返回 True
trie.search("app");     // 返回 False
trie.startsWith("app"); // 返回 True
trie.insert("app");
trie.search("app");     // 返回 True

提示:
1 <= word.length, prefix.length <= 2000
word 和 prefix 仅由小写英文字母组成
insert、search 和 startsWith 调用次数 总计 不超过 3 * 104

解题思路:

  • 1、审题:前缀树实现,前缀树是一颗多叉树,如果规定前缀树节点值保存的小写字母,则多叉树的子树大小为26(26个英文字母个数)
  • 2、解题:
  • 实现二叉树的字符串插入insert,字符串查询search,和前缀字符判断startsWith
  • 在构造函数中,定义一个26个大小的数组,用于标示当前结点的子节点保存位置
  • 当调用insert方法插入字符串时,先找到根节点,遍历字符串,并从前缀树的根节点开始判断,遍历到的字符在前缀树中是否存在,如果不存在则新建该字符标识的结点
    • 直到字符串全部遍历完,并将该结点标识为是单个单词
  • 查询方法search和前缀树内容判断,也是类似的思路

代码实现:

class Trie
{

public:
    Trie()
    {
        root = new TrieNode();
    }

    class TrieNode // 内部类
    {
    public:
        bool isWord = false;
        TrieNode *children[26]; // 数组

        TrieNode()
        {
            for (int i = 0; i < 26; i++)
            {
                children[i] = nullptr;
            }
        }

        ~TrieNode()
        {
            for (int i = 0; i < 26; i++)
            {
                delete children[i];
                children[i] = nullptr;
            }
        }
    };

    /** Inserts a word into the trie. */
    void insert(string word)
    {
        TrieNode *node = root;
        for (int i = 0; i < word.length(); i++)
        {
            int index = word[i] - 'a';
            if (node->children[index] == nullptr)
            {
                node->children[index] = new TrieNode();
            }
            node = node->children[index];
        }
        node->isWord = true;
    }

    /** Returns if the word is in the trie. */
    bool search(string word)
    {
        TrieNode *node = root;
        for (int i = 0; i < word.length(); i++)
        {
            int index = word[i] - 'a';
            if (node->children[index] == nullptr)
            {
                return false;
            }
            node = node->children[index];
        }
        return node->isWord;
    }

    /** Returns if there is any word in the trie that starts with the given prefix. */
    bool startsWith(string prefix)
    {
        TrieNode *node = root;
        for (int i = 0; i < prefix.length(); i++)
        {
            int index = prefix[i] - 'a';
            if (node->children[index] == nullptr)
            {
                return false;
            }
            node = node->children[index];
        }
        return true;
    }

private:
    TrieNode *root;
};

3、总结

  • 前缀树概念,字典树,是多叉树,每个单词对应树的一条路径,每个节点对应单词的结点
  • 单词结束位置的结点有特殊标记位 isWord
  • 前缀树的创建与查询,将单词插入到前缀树中,根据单词的字符查找对应位置的结点是否存在,不存在的话则新建结点,并重新赋值。
  • 单词查询方式也一样的逻辑,根据遍历到的字符位置查找结点,直到单词结尾的结点,并判断是否有结束标识。
评论
添加红包

请填写红包祝福语或标题

红包个数最小为10个

红包金额最低5元

当前余额3.43前往充值 >
需支付:10.00
成就一亿技术人!
领取后你会自动成为博主和红包主的粉丝 规则
hope_wisdom
发出的红包
实付
使用余额支付
点击重新获取
扫码支付
钱包余额 0

抵扣说明:

1.余额是钱包充值的虚拟货币,按照1:1的比例进行支付金额的抵扣。
2.余额无法直接购买下载,可以购买VIP、付费专栏及课程。

余额充值