面试题25:二叉树中和为某一值的路径
1.题目描述
输入一棵二叉树和一个整数,打印出二叉树中结点值的和为输入整数的所有路径。从树的根结点开始往下一直到叶结点所经过的结点形成一条路径。二又树结点的定义如下:
struct BinaryTreeNode
{
int m_nValue;
BinaryTreeNode* m_pLeft;
BinaryTreeNode* m_pRight;
};
注意:二叉树中结点的值可以为负数。
2.题目分析
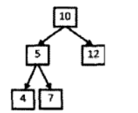
例如输入下图中二叉树和整数22,则打印出两条路径,第一条路径包含结点10、12,第二条路径包含结点10、5和7。

以上图的二叉树作为例子来分析。由于路径是从根结点出发到叶结点,也就是说路径总是以根结点为起始点,因此我们首先需要遍历根结点。在树的前序、中序、后序三种遍历方式中,只有前序遍历是首先访问根结点的。按照前序遍历的顺序遍历上图中的二叉树,在访问结点10之后,就会访问结点5。从二叉树结点的定义可以看出,在本题的二又树结点中没有指向父结点的指针,访问到结点5的时候,我们是不知道前面经过了哪些结点的,除非我们把经过的路径上的结点保存下来。每访问到一个结点的时候,我们都把当前的结点添加到路径中去。到达结点5时,路径中包含两个结点,它们的值分别是10和5。接下来遍历到结点4,我们把这个结点也添加到路径中。这个时候已经到达了叶结点,但路径上三个结点的值之和是19.这个和不等于输入的值22,因此不是符合要求的路径。
我们接着要遍历其他的结点。在遍历下一个结点之前,先要从结点4回到结点5,再去遍历结点5的右子结点7。值得注意的是,回到结点5的时候,由于结点4已经不在前往结点7的路径上了,我们需要把结点4从路径中删除。接下来访问到结点7的时候,再把该结点添加到路径中。此时路径中三个结点10、5、7之和刚好是22,是一条符合要求的路径。我们最后要遍历的结点是12。在遍历这个结点之前,需要先经过结点5回到结点10。同样,每一次当从子结点回到父结点的时候,我们都需要在路径上删除子结点。最后从结点10到达结点12的时候,路径上的两个结点的值之和也是22,因此这也是一条符合条件的路径。
分析完前面具体的例子之后,我们就找到了一些规律。当用前序遍历的方式访问到某一结点时,我们把该结点添加到路径上,并累加该结点的值。如果该结点为叶结点并且路径中结点值的和刚好等于输入的整数,则当前的路径符合要求,我们把它打印出来。如果当前结点不是叶结点,则继续访问它的子结点。当前结点访问结束后,递归函数将自动回到它的父结点。因此我们在函数退出之前要在路径上删除当前结点并减去当前结点的值,以确保返回父结点时路径刚好是从根结点到父结点的路径。我们不难看出保存路径的数据结构实际上是一个栈,因为路径要与递归调用状态致,回递归调用的本质就是一个压栈和出栈的过程。
3.code
void FindPath(BinaryTreeNode* pRoot,int expectedSum)
{
if(!pRoot) return ;
std::vector<int> path;//存放路径的容器
int currentSum = 0;
FindPathRoot(pRoot,expectedSum,path,currentSum);
}
void FindPath(BinaryTreeNode* pRoot,int expectedSum,std::vector<int>& path,int& currentSum)
{
currentSum += pRoot->m_nValue;
path.push_back(pRoot->m_nValue);
/*如果是叶子结点,并且路径上结点的和等于输入的值,打印出这条路径*/
bool isLeaf = pRoot->m_pLeft == NULL && pRoot->m_pRight == NULL;
if(isLeaf && currentSum == expectedSum)
{
std::cout<<"A path is found: ";
std::vector<int>::iterator iter = path.begin();
for(;iter != path.end();++iter)
{
std::cout<<*iter<<" ";
}
std::endl;
}
/*如果不是叶结点,则遍历它的子结点*/
if(pRoot->m_pLeft != NULL)
{
FindPath(pRoot->m_pLeft,expectedSum,path,currentSum);
}
if(pRoot->m_pRight != NULL)
{
FindPath(pRoot->m_nRight,expectedSum,path,currentSum);
}
/*当程序执行到此步时,说明这一条路径已经遍历完,此时要返回到上一个结点,
即当前结点的双亲结点,去遍历另一条路径*/
currentSum -= pRoot->m_nValue;
path.pop_back();
}
在上面的代码中,我们用标准模板库中的 vector实现了一个栈来保存路径,每一次都用 push back在路径的末尾添加结点,用 pop back在路径的末尾删除结点,这样就保证了栈的先入后出的特性。这里没有直接用STL中的 stack的原因是在 stack中只能得到栈顶元素,而我们打印路径的时候需要得到路径上的所有结点,因此在代码实现的时候std::stack不是最好的选择。
280

被折叠的 条评论
为什么被折叠?



