高通QCC3040 TWS耳机心率Heart Rate准确性数据对比
概述
对比分析Tengtai TWS的心率数据。
一个是塞到耳朵上(Tengtai TWS),一个是绑到胸前(Polar H10),Polar H10作为 Polar 有史以来最精确的心率传感器(源自 Polar 官网)蓝牙心率带,今日我们拿他来做对比。
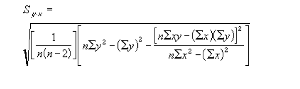
本文详细对比了Tengtai TWS耳机与专业心率带Polar H10在不同运动状态下的心率数据准确性,发现TWS表现良好,接近专业水准。通过线性相关系数和标准误差评估,探讨两者性能差异。
对比分析Tengtai TWS的心率数据。
一个是塞到耳朵上(Tengtai TWS),一个是绑到胸前(Polar H10),Polar H10作为 Polar 有史以来最精确的心率传感器(源自 Polar 官网)蓝牙心率带,今日我们拿他来做对比。

被折叠的 条评论
为什么被折叠?