今天是算法数据结构专题的第35篇文章,我们来聊聊图论当中的强连通分量分解的Tarjan算法。
Kosaraju算法一看这个名字很奇怪就可以猜到它也是一个根据人名起的算法,它的发明人是S. Rao Kosaraju,这是一个在图论当中非常著名的算法,可以用来拆分有向图当中的强连通分量。
背景知识
这里有两个关键词,一个是有向图,另外一个是强连通分量。有向图是它的使用范围,我们只能使用在有向图当中。对于无向图其实也存在强连通分量这个概念,但由于无向图的连通性非常强,只需要用一个集合维护就可以知道连通的情况,所以也没有必要引入一些算法。
有向图我们都了解,那么什么叫做强连通分量呢?强连通分量的英文是strongly connected components。这是一个很直白的翻译,要理解它我们首先需要理解强连通的概念。在有向图当中,如果两个点之间彼此存在一条路径相连,那么我们称这两个点强连通。那么推广一下,如果一张图当中的一个部分中的每两个点都连通,那么这个部分就称为强连通分量。
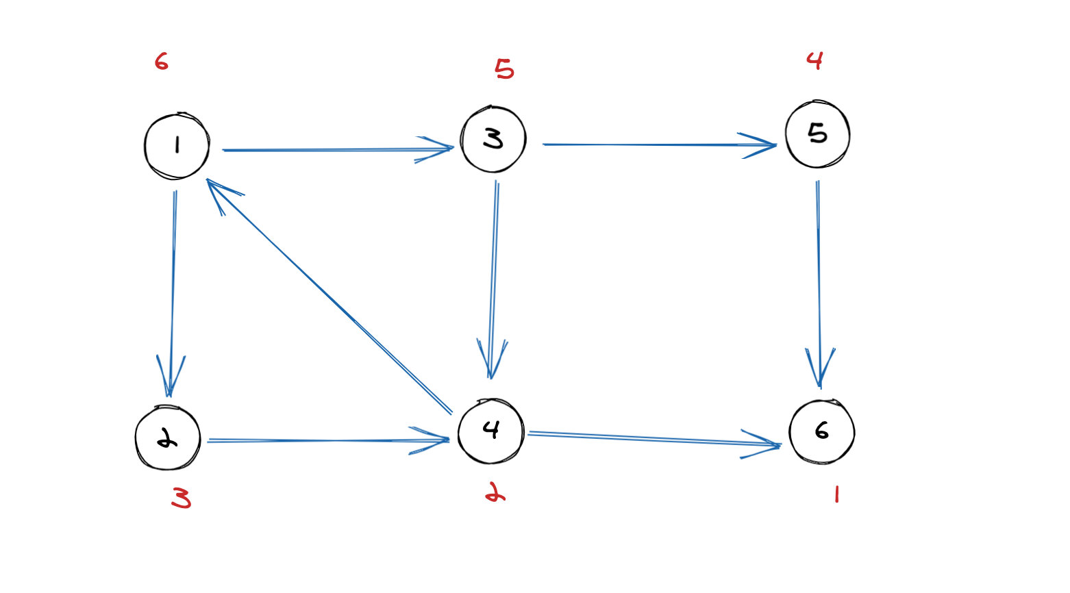
强连通分量一般是一张完整的图的一个部分,比如下面这张图当中的{1, 2, 3, 4}节点就可以被看成是一个强连通分量。

其实求解强连通分量的算法并不止一种,除了Kosaraju之外还有大名鼎鼎的Tarjan算法可以用来求解。但相比Tarjan算法,Kosaraju算法更加直观,更加容易理解。
算法原理
Kosaraju算法的原理非常简单,简单到只有三个步骤:
- 我们通过后序遍历的方式遍历整个有向图,并且维护每个点的出栈顺序
- 我们将有向图反向,根据出栈顺序从大到小再次遍历反向图
- 对于点u来说,在遍历反向图时所有能够到达的v都和u在一个强连通分量当中
怎么样,是不是很简单?
下面我们来详细阐述一下细节,首先后序遍历和维护出栈顺序是一码事。也就是在递归的过程当中当我们遍历完了u这个节点所有连通的点之后,再把u加入序列。其实也就是u在递归出栈的时候才会被加入序列,那么序列当中存储的也就是每个点的出栈顺序。
这里我用一小段代码演示一下,看完也就明白了。
popped = [] # 存储出栈节点
def dfs(u):
for v in Graph[u]:
dfs(v)
popped.append(u)
我们在访问完了所有的v之后再把u加入序列,这也就是后序遍历,和二叉树的后序遍历是类似的。
反向图也很好理解,由于我们求解的范围是有向图,如果原图当中存在一条边从u指向v,那么反向图当中就会有一条边从v指向u。也就是把所有的边都调转反向。
我们用上面的图举个例子,对于原图来说,它的出栈顺序我们用红色笔标出。

也就是[6, 4, 2, 5, 3, 1],我们按照出栈顺序从大到小排序,也就是将它反序一下

本文介绍了图论中的Kosaraju算法,用于拆分有向图的强连通分量。文章首先解释了有向图和强连通分量的概念,然后详细阐述了Kosaraju算法的三个步骤:后序遍历、反向图构建及遍历反向图。通过实例展示了算法的运作过程,并探讨了算法背后的逻辑。
最低0.47元/天 解锁文章
507

被折叠的 条评论
为什么被折叠?



