KL散度(Kullback–Leibler divergence)
KL散度是度量两个分布之间差异的函数。在各种变分方法中,都有它的身影。
转自:https://zhuanlan.zhihu.com/p/22464760

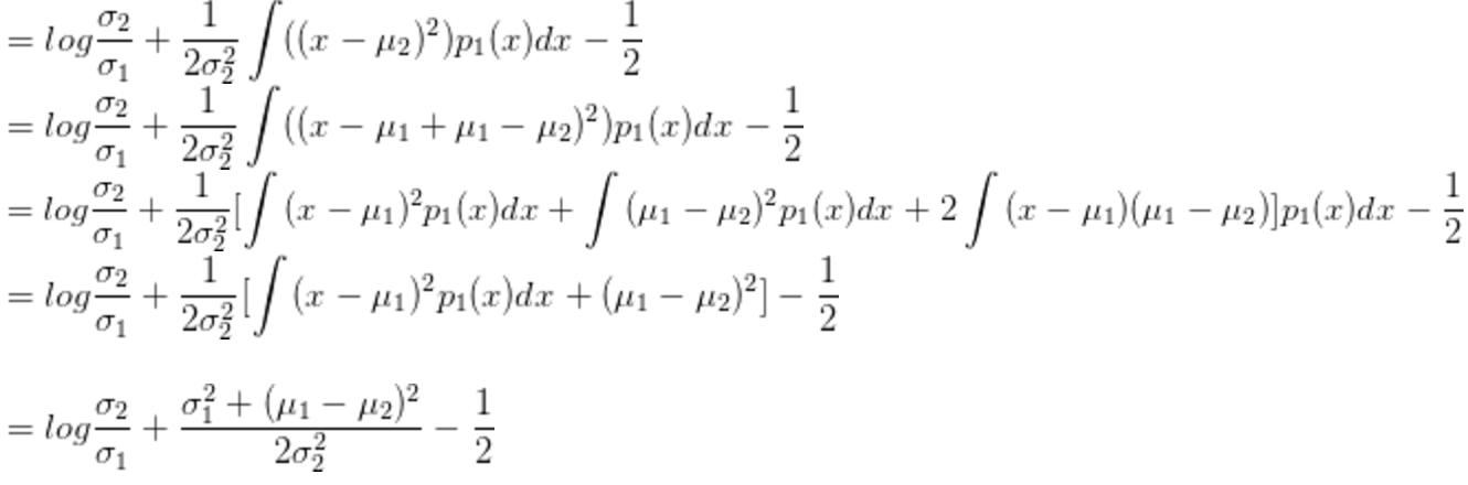
一维高斯分布的KL散度




多维高斯分布的KL散度:

KL散度公式为:

本文深入探讨了KL散度(Kullback-Leibler divergence),一种衡量两个概率分布差异的重要方法。广泛应用于各种变分方法中,特别关注了一维和多维高斯分布的KL散度计算。
KL散度是度量两个分布之间差异的函数。在各种变分方法中,都有它的身影。
转自:https://zhuanlan.zhihu.com/p/22464760

一维高斯分布的KL散度




多维高斯分布的KL散度:

KL散度公式为:


被折叠的 条评论
为什么被折叠?