第二章 感知机
2.1感知机
感知机:二类线性分类模型,旨在求出将训练数据进行线性划分的分离超平面S
感知机属于判别模型:即直接求出条件概率
方法:导入基于误分类的损失函数,利用梯度下降法对损失模型进行最小化,求出模型
分类:原始模型和对偶模型
分类:原始模型和对偶模型
神经网络与支持向量机的基础
f(x)=sign(w*x+b):感知机
w为权值向量,b为偏置(bias) sign()为符号函数,即x大于等于0,sign(x)=1,反之=-1
w为权值向量,b为偏置(bias) sign()为符号函数,即x大于等于0,sign(x)=1,反之=-1
解释1:
w*x+b=0是超平面S,其中w是S的法向量,b是S的截距,S被称为分离超平面,位于两部分的点分别被分为正、负两类。
w*x+b=0是超平面S,其中w是S的法向量,b是S的截距,S被称为分离超平面,位于两部分的点分别被分为正、负两类。
2.2 学习策略
线性可分:存在某个S:w*x+b=0能偶将数据集完全正确划分,则称该数据集为线性可分数据集
为了确定w和b,需要确定一个学习策略,即定义 经验损失函数并将损失函数极小化
损失函数选择:
1. 误分类点个数:不是连续可导函数,拒绝
2. 误分类点到超平面距离:接受
|w*x0+b|/|w| 其中|w|是 w的范数
即:L(w,b)=-求和(y(w*x+b)) y是类的实际标签
1. 误分类点个数:不是连续可导函数,拒绝
2. 误分类点到超平面距离:接受
|w*x0+b|/|w| 其中|w|是 w的范数
即:L(w,b)=-求和(y(w*x+b)) y是类的实际标签
2.3 学习算法
M为误分类点的集合
感知机学习算法是误分类驱动,具体采用随机梯度下降法
先任意的选取超平面w0,b0,然后使用梯度下降法不断极小化目标函数 L(w,b)=-求和(y(w*x+b))
先任意的选取超平面w0,b0,然后使用梯度下降法不断极小化目标函数 L(w,b)=-求和(y(w*x+b))
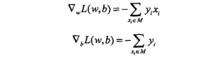
损失函数L(w,b)的梯度由

图1
给出,随机选取一个误分类点,对w,b进行更新:
w <- w+uyx
b <- b+uyx //u是步长,又可以叫 学习率
给出,随机选取一个误分类点,对w,b进行更新:
w <- w+uyx
b <- b+uyx //u是步长,又可以叫 学习率
原始形式:
感知机的原始学习算法如图所示:

图2
理解:当一个实例点被误分类 ,即位于错误的一侧,则调整w,b的值,使超平面向该误分类点的一侧移动
理解:当一个实例点被误分类 ,即位于错误的一侧,则调整w,b的值,使超平面向该误分类点的一侧移动
感知机学习算法由于采用不同的初值或选取不同的误分类点,解可以不同
2.4 算法的收敛性:
将偏置b加入权重向量w中 w'=(w,b) ,同时,输入向量加以扩充补个1 x'=(x,1)
w'*x'=w*x+b
将偏置b加入权重向量w中 w'=(w,b) ,同时,输入向量加以扩充补个1 x'=(x,1)
w'*x'=w*x+b
定理1:Novikoff
存在满足|w'|=1的超平面w'*x'=0将训练集完全正确分开,且存在s>0,使得y(w'*x')>=s
令R=max|x'| ,则误分类次数k<=(R/s)^2
存在满足|w'|=1的超平面w'*x'=0将训练集完全正确分开,且存在s>0,使得y(w'*x')>=s
令R=max|x'| ,则误分类次数k<=(R/s)^2
说明误分类次数是有上界的,经过有限次搜索可以找到将训练数据完全正确分开的分离超平面S
只要线性可分,感知机学习算法原始形式的迭代就是收敛的
当训练数据集线性不可分的时候,感知机算法不收敛,迭代结果会震荡
对偶形式:
算法如图所示:


图3
对偶形式中训练实例仅以内积的形式出现,用矩阵的形式存储,即Gram矩阵
对偶形式中训练实例仅以内积的形式出现,用矩阵的形式存储,即Gram矩阵

被折叠的 条评论
为什么被折叠?



