在机器人逆解中,由于机器人存在多个自由度,因此可能会存在多个解。在这种情况下,需要对每个解进行筛选和判断。
1. 筛选解的可行性
首先要检查每个解是否符合机器人的工作空间和关节限制条件。例如,可以检查每个关节的角度是否在其允许范围内,末端执行器是否在机器人工作空间内等。
2. 判断解的优劣
对于多个解中的可行解,还需要进一步判断其优劣。通常可以采用以下方法:
(1)目标函数法
目标函数法是一种常用的评估多解优劣的方法。其基本思想是设计一个目标函数,根据不同的需求来评估每个解的优劣,并选择使目标函数最小化或最大化的解作为最优解。
例如,在机器人逆运动学问题中,可以设计一个目标函数来衡量末端执行器与目标位置之间的距离(或误差),然后选择使目标函数最小化的解作为最优解。具体实现步骤如下
-
定义目标函数
假设机器人末端执行器的位姿为Te,目标位姿为Td ,则可以定义以下目标函数:

其中,θ表示机器人的关节角度,∥⋅∥表示欧几里得距离,即末端执行器与目标位置之间的距离。 -
求解目标函数
对于每个可行解,可以通过正解求出末端执行器的位姿Te,然后代入目标函数中计算误差f(θ)。最终得到每个解对应的误差值。需要注意的是,如果目标函数存在多个极值点,则需要进行全局搜索,以确保找到全局最优解。 -
选择最优解
根据目标函数的定义,选择使误差最小化的解作为最优解。如果需要多个目标,则可以设计多个目标函数,并根据不同的权重来对其进行加权平均或组合,得到一个综合评价指标,并选择相应的最优解。
总之,目标函数法是一种简单而有效的评估多解优劣的方法,但需要根据具体问题来设计目标函数,并进行适当的权衡和调整。
(2)约束条件法
约束条件法是一种常用的评估多解优劣的方法。它通过添加额外的约束条件来限制解的可行性,从而进一步筛选和判断每个解的优劣。
以下以机器人路径规划为例,说明目标函数法的具体实现过程:
假设有一个自由度为3的机器人,在三维空间中从起始点(x0,y0,z0),移动到目标点(xd,yd,zd),在运动过程中需要避开障碍物。该问题的目标是求出一条安全、高效的路径。
- 定义目标函数
在路径规划问题中,通常会定义一些目标函数,例如机器人的移动距离、时间、能耗等,并根据不同的需求选择相应的目标函数。
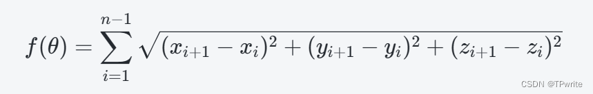
假设这里我们的目标是使机器人移动距离最小化,则可以定义以下目标函数:

其中,θ表示机器人的关节角度,n表示机器人的轨迹点数量,(xi,yi,zi)表示第i个轨迹点的坐标。
- 添加约束条件
为了确保机器人在运动过程中安全、高效地移动,需要添加一些额外的约束条件。这些约束条件通常涉及到机器人的运动学和动力学特性,例如:
(1)关节角度限制:机器人的每个关节都有一定的角度限制,超出限制范围可能会导致机器人运动不稳定或发生碰撞。
(2)碰撞检测:机器人在运动过程中需要避开障碍物,因此需要进行碰撞检测,并确保机器人不会与障碍物发生碰撞。
(3)速度限制:机器人的运动速度需要控制在合理范围内,以避免过快或过慢导致的运动不稳定或能耗过高。
(4)加速度限制:机器人的加速度也需要控制在合理范围内,以避免机器人在加减速过程中发生不稳定或出现抖动等问题。
根据具体问题和需求,可以选择相应的约束条件,并根据机器人的运动学和动力学模型来进行验证和调整。
- 求解最优解
根据定义的目标函数和约束条件,可以采用优化算法如线性规划、非线性规划、遗传算法等,求解最优解。在求解过程中,需要考虑多个目标函数和约束条件之间的权重和关系,并进行合理的权衡和调整。
约束条件法是一种常用的评估多解优劣的方法,它通过添加额外的约束条件来限制解的可行性,进一步筛选和判断每个解的优劣。对于复杂的机器人问题,需要根据具体需求和情况,选择合适的约束条件和优化算法,以求得最优解。
(3)启发式搜索法
启发式搜索是一种基于经验和规则的搜索算法,可以在有限时间内搜索到最优解。例如,可以通过遍历所有可能的解,并利用启发式方法来评估每个解的优劣,然后选择最优解。
以下以一个简单的机器人路径规划问题为例,说明启发式搜索法的具体实现过程:
假设有一个自由度为3的机器人,在二维平面上从起始点(x0,y0)移动到目标点(xd,yd),在运动过程中需要避开障碍物。该问题的目标是求出一条安全、高效的路径。
- 定义状态空间
首先需要定义机器人的状态空间,即机器人可能存在的所有状态。在该问题中,机器人的状态可以定义为三个关节角度(θ1,θ2,θ3),其中θi表示第i个关节的角度。
- 设计启发式函数
为了评估每个解的优劣,需要设计一个启发式函数。该函数通常基于经验和规则,在搜索过程中对每个解进行评估。例如,在路径规划问题中,可以采用曼哈顿距离(Manhattan Distance)来评估当前状态与目标状态之间的距离:

其中,θ表示当前状态的关节角度,(x,y)表示当前状态的二维坐标。
- 设计搜索策略
基于定义的状态空间和启发式函数,可以设计合适的搜索策略。常用的搜索策略包括深度优先搜索、广度优先搜索、A搜索等。
在A搜索中,通过综合考虑当前状态的实际代价(即从初始状态到当前状态的代价g)和估计剩余代价(即从当前状态到目标状态的估计代价h),来选择具有最小总代价的状态作为下一步探索的状态。具体实现方法如下:
(1) 初始化:将起始状态加入开放列表(open list)中。
(2) 选择状态:从开放列表中选择f值最小的状态,并将其从开放列表中移除,加入到关闭列表(closed list)中。
(3) 判断状态:对每个邻近状态进行如下操作:
1. 如果该状态已经在关闭列表中,则忽略。
2. 如果该状态不在开放列表中,则将其加入到开放列表中,并 计算其f值、g值和h值。
3. 如果该状态已经在开放列表中,则比较其当前g值和新的g值,如果新的g值更小,则更新其f值、g值和父节点信息。
(4) 重复执行:重复执行以上步骤,直到选择的状态为目标状态。
- 选择最优解
在搜索过程中,如果找到目标状态,则表示求解成功。此时可以通过回溯法来获取从起始状态到目标状态的最优路径,并计算其代价。
总之,启发式搜索法是一种基于经验和规则的搜索算法,可用于求解机器人运动控制、路径规划等问题。其主要思想是通过启发式函数来评估每个解的优劣,并选择具有最佳评估值的解作为最优解。在实际应用中,需要根据具体问题和需求,选择合适的状态空间、启发式函数和搜索策略,以求得最优解。
1169






