北大的研究团队,用一个AI系统,在不被告知任何物理知识的情况下,仅通过观察实验数据,最终独立推导出了牛顿第二定律、万有引力定律和能量守恒定律。

这个AI-Newton(AI-牛顿)系统,刚刚被《Nature》点赞👍了。

科学的终极追求,是用最简洁的定律来描绘最广阔的现象。
人类科学家在这个过程中,拥有可解释、追求简洁和普适性的天赋,但研究周期漫长,容易被固有观念束缚,处理极端复杂问题的能力也有限。
人工智能的崛起,为科学发现开辟了一条全新的道路。
如何开发一个能从数据中自主提取可泛化知识的AI系统?
AI-Newton,就是一个由概念提取和合理推理驱动的物理定律发现系统。
它集成了一个自主发现工作流程,其背后是一个不断成长的知识库(KB)。这个知识库里存储着符号、物理概念和物理定律。
AI-Newton的目标,是在没有任何先验物理知识的前提下,面对一系列物理实验,自主构建出能够解释广泛现象的通用物理定律。
作为验证,它成功地在经典力学领域,重新发现了那些我们耳熟能详的伟大定律。
知识,需要一个家
AI-Newton的核心,是它的知识库。这是一个结构化、不断演进的大脑,分为实验库和理论库。

为了精确地表达和管理知识,AI-Newton采用了一种专门定制的物理领域特定语言(DSL)。
这种语言不仅仅是数学公式的载体,它还将物理对象的属性、物理量之间的关系,按照抽象语法树的结构进行编码。这保证了知识的严谨性和可计算性。
实验库里存放着各种物理实验的设置和数据生成器。
每个实验的输入极其纯粹,只包含涉及的物理对象(比如球、弹簧)、几何信息、实验参数以及时空坐标。
这里需要强调,AI-Newton不知道什么是质量,什么是能量,这些我们习以为常的概念,都需要它自己在探索中去发明。
实验的输出,则是带有统计误差的模拟数据,模拟了真实世界的测量不确定性。
理论库则是AI-Newton存放自己思考成果的地方。
它采用了一种以概念为中心的三层架构:符号层、概念层和定律层。
这种架构的设计,深刻地借鉴了人类科学家的认知过程。
人类物理学家正是通过构建诸如力、动量等核心概念,才得以用简洁而普适的定律来描述复杂的物理世界。
符号层,是知识的字母表。
它存储了所有允许用来表示物理知识的符号,包括基本的代数运算和微积分符号。
每当AI-Newton定义一个新概念,它会自动在这里注册一个对应的符号。
概念层,是知识的词汇库。
这里存放着AI-Newton自主定义的物理概念。
每一个概念,都由已知的、更基础的概念通过数学运算组合而成。
例如,AI-Newton观察到一个小球的位置坐标x随时间t变化,它可能会定义一个新概念:

这个表达式的含义是:对于所有的小球i,取其x坐标对时间t的导数。这个索引为01的新概念,就是我们所熟知的速度。
除了像速度这样的动态概念,AI-Newton还能识别并定义那些仅与特定物理对象相关的内在概念,比如质量和弹簧常数,以及那些不依赖于任何其他量的普适常数,比如万有引力常数。
它识别这些概念的方式非常巧妙:通过记录它们的测量程序。
例如,它可以通过一个实验来定义质量。
这个定义至关重要。
今后在任何其他实验中遇到质量这个概念,AI-Newton都知道,它的数值必须通过最初定义它的那个实验(或者等价的实验)来进行测量。这保证了概念的一致性。
定律层,是知识的语法规则。
这里存放着AI-Newton发现的物理定律,包括守恒定律和动力学方程。
定律被分为两类:特定定律和一般定律。
特定定律只适用于某个特定的实验场景。
一般定律则具有普适性,可以应用于一系列不同的实验。能量守恒、牛顿第二定律,就属于一般定律。
一般定律的威力在于,它能用一个极为紧凑和简洁的公式,同时描述多个看起来截然不同的复杂系统。
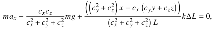
例如,考虑一个复杂的场景:一个斜面上,一个球通过一个弹簧连接到一个固定点。AI-Newton一旦发现了一般定律——牛顿第二定律在x方向的分量形式:

它就可以通过这个简洁的公式,自动推导出该特定场景下,小球极其复杂的具体动力学方程:

AI-Newton通过先发现一般定律,再将其特例化到具体场景,优雅地解决了这个问题。
发现,是一个持续的循环
AI-Newton的思考过程,是一个被称为自主发现工作流程的循环。
它将合理推理与符号方法相结合,持续地从实验数据中提炼知识,并用这些知识更新自己的知识库。
每一次分析,都是一次完整的循环。
这个流程的核心思想,是合理推理。
这是一种基于不完全证据进行理性推断的方法。它不同于冰冷的演绎逻辑,它产生的结论在当前情境下是合理的,但并非绝对普称的真理。
这恰恰反映了科学研究的本质:假设先于验证,理论在不断修正中前进。
每一次循环的开始,AI-Newton会通过一个推荐引擎来选择一个实验和几个已有的概念进行分析。
这个引擎的设计,模拟了人类科学家在利用已有知识和探索未知领域之间的权衡。
为了防止系统在知识积累不足时,过早地陷入过于复杂的实验中,它还采用了一种时代控制策略。
简单来说,就是在早期,每次分析的时间被严格限制,系统只能处理简单的实验。
随着尝试次数增多,如果仍然没有新发现,系统会增加分配的时间,进入一个新的时代,开始尝试更复杂的实验。
选好实验和概念后,就进入了发现新定律的阶段。
寻找特定定律,相对直接。
系统会在允许的数学操作范围内,搜索所选概念之间的关系,这可以看作是符号回归的一个特例。
寻找一般定律,则更多依赖于合理推理。
这里的核心思想是:如果一个已知的一般定律,在很多实验中都成立,但在当前这个新实验中不成立了,那么很有可能,这个定律不是完全错了,而只是不完整。
我们可以尝试在原有公式的基础上,添加一个简单的修正项,来得到一个更普适的新定律。
一个绝佳的例子是能量守恒。
AI-Newton可能在分析弹性碰撞实验时,发现动能是守恒的,并将其作为一条一般定律。
但当它转而分析一个弹簧振子系统时,它会发现动能不守恒了。
此时,合理推理机制会启动。
它不会轻易抛弃能量守恒这个美好的想法,而是会尝试引入一个新的能量项来弥补动能的损失。
通过符号回归,它最终找到了这个新项——弹性势能。
将动能和弹性势能相加,守恒再次完美恢复。
通过这种方式,AI-Newton不断地扩展和完善它的定律体系,从动能守恒,到动能与弹性势能之和守恒,再到动能、弹性势能与引力势能之和守恒,最终形成完整的能量守恒定律。
这个发现过程,不可避免地会产生冗余的知识,导致知识库和搜索空间膨胀,阻碍持续的发现。
为了解决这个问题,AI-Newton在每次循环的最后,都会有一个简化步骤。
它采用微分代数中的Rosenfeld Gröbner算法,将发现的物理定律简化到其最核心的、最精简的表示。
简化之后,系统还会通过一种受控变量分析的方法,评估定律中各个参数的依赖关系,并将定律进行分类。
这个简化的结果,本身就是新概念的源泉。
例如,如果在当前实验中发现了一个守恒量,AI-Newton会认为它可能具有更广泛的适用性,从而将其提取为一个全新的概念。
如果一个特定定律在多个其他实验中也碰巧成立,系统会将其提拔为一条候选的一般定律。
所有新发现的定律、新定义的概念和它们对应的符号,都会被更新到知识库中。
至此,一个完整的发现循环结束。AI-Newton的知识大厦,又向上垒了一块砖。
从零到牛顿的实践
为了验证AI-Newton的能力,研究人员将其应用于一个包含46个预定义实验的牛顿力学问题集。
这些实验涉及三类最基本的物理对象:球(可以是小球或天体)、弹簧和斜面。

实验的设计由简到繁,系统性地覆盖了从简单到复杂的各种物理场景:
-
单个球或弹簧的自由运动。
-
球之间的弹性碰撞。
-
耦合系统,展示平移振动、旋转振荡和摆动运动。
-
与引力相关的问题,如抛体运动、斜面上的运动,以及复杂的球-弹簧耦合系统。
-
涉及万有引力的天体力学问题。
实验的复杂性通过增加物理对象的数量和空间维度来系统性地提升,涵盖了许多高自由度的问题,例如斜面上链式2球-2弹簧系统的耦合振荡,以及4球-4弹簧系统的旋转动力学。
为了模拟真实的实验条件,所有测试数据都通过求解微分方程生成,并加入了高斯分布的随机误差。
这个全面的实验设置,严格地考验了AI-Newton从带噪声的数据中发现物理定律的真实能力。
在总共1200次试验的限制下,AI-Newton展现了强大的知识发现能力。
在多次测试中,它平均识别出了约90个物理概念和50个一般定律。
这些发现中,就包括了能量守恒定律和牛顿第二定律,以及与它们相关的核心概念,如质量、动量、动能、势能等等。
这些被发现的定律和概念,为测试集中从最简单到最复杂的所有46个实验,提供了完整且自洽的解释。

通过分析AI-Newton的发现过程,我们能观察到两个与人类科学探索高度相似的基本特征。
第一个特征是渐进式进展。
人类物理学家不是一步到位就定义出所有概念或写下终极定律的。
他们从最基本的概念开始,通过持续的探索,逐步构建出更复杂的理论体系。
AI-Newton清晰地复现了这一模式。
它的知识库最初仅限于时空坐标。
它首先探索和定义了像速度这样的简单概念,然后是质量、弹簧常数。
在此基础上,它才逐步推进到更复杂的概念,如动能、动量,最后是势能和能量守恒。
这种阶段性的进展,反映了系统内在的逻辑一致性,也与人类科学史的发展轨迹不谋而合。
第二个特征是多样性。
尽管遵循着逻辑的阶梯,AI-Newton在不同的测试中,展现出了丰富的多样性。
由于其完全无监督的发现过程,重要概念和定律被发现的顺序和具体时间点,在不同的测试中存在显著差异。
这表明系统具备在不同问题配置下进行灵活探索的能力。
更有趣的是,即使是同一个物理概念,也可能通过完全不同的实验和方法被提取出来。
以质量为例。
在一次测试中,AI-Newton可能通过测量悬挂在弹簧上的小球导致的弹簧伸长量来定义质量。
在另一次测试中,它又可能通过测量连接到小球的弹簧的振荡频率来定义质量。
事实上,这两个定义,恰好对应着物理学中众所周知的引力质量和惯性质量。
AI-Newton能够通过后续的实验分析,识别出这两种不同定义在数值上的等价性,并最终只保留一个定义,从而认识到它们的统一。
这种多样性确保了重要定律的发现,不依赖于任何特定的、不可或缺的实验(除了那些最基础的,如匀速直线运动)。
即使随机移除一部分实验,AI-Newton虽然可能需要更长的计算时间,但最终仍然能够殊途同归,发现那些核心的物理定律。
框架的未来
AI-Newton的实现框架,展示了其巨大的扩展潜力。
例如,当前版本主要处理代数和微分运算。未来如果能整合更强大的数学工具,如矢量分析和逻辑推理,无疑将极大增强AI-Newton的推导和证伪能力。
此外,AI-Newton的核心框架,在本质上与自然语言处理技术是兼容的。
这意味着,未来或许可以引入自然语言来表示和推理那些难以用纯数学表达式描述的物理概念和定律,比如惯性的概念,或者量子力学中的基本原理。
AI-Newton不仅仅是解决了以往AI方法在科学发现中的某些局限性,它更重要的意义在于,它展示了一条通往真正自主科学发现的、充满希望的道路。
它通过模拟人类科学家的概念构建和合理推理过程,让AI不再只是一个冰冷的、拟合数据的工具,而更像一个拥有好奇心、能够不断学习和成长的数字科学家。
随着这类系统的进一步发展,AI-Newton及其后继者,最终或许能够帮助人类科学家在前沿科学领域取得突破,甚至为通用人工智能(AGI)的实现,提供一条独特的途径。
参考资料:
https://arxiv.org/abs/2504.01538
https://www.nature.com/articles/d41586-025-03659-4
END
AI自主发现物理定律

被折叠的 条评论
为什么被折叠?



