142. Linked List Cycle II
Medium
7195472Add to ListShare
Given the head of a linked list, return the node where the cycle begins. If there is no cycle, return null.
There is a cycle in a linked list if there is some node in the list that can be reached again by continuously following the next pointer. Internally, pos is used to denote the index of the node that tail's next pointer is connected to (0-indexed). It is -1 if there is no cycle. Note that pos is not passed as a parameter.
Do not modify the linked list.
Example 1:

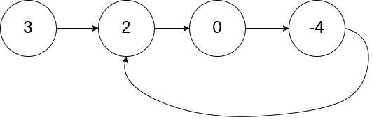
Input: head = [3,2,0,-4], pos = 1 Output: tail connects to node index 1 Explanation: There is a cycle in the linked list, where tail connects to the second node.
Example 2:

Input: head = [1,2], pos = 0 Output: tail connects to node index 0 Explanation: There is a cycle in the linked list, where tail connects to the first node.
Example 3:

Input: head = [1], pos = -1 Output: no cycle Explanation: There is no cycle in the linked list.
Constraints:
- The number of the nodes in the list is in the range
[0, 104]. -105 <= Node.val <= 105posis-1or a valid index in the linked-list.
Follow up: Can you solve it using O(1) (i.e. constant) memory?
# Definition for singly-linked list.
# class ListNode:
# def __init__(self, x):
# self.val = x
# self.next = None
class Solution:
def detectCycle(self, head: Optional[ListNode]) -> Optional[ListNode]:
"""
解题思路(别人的):
对于链表找环路的问题,有一个通用的解法——快慢指针(Floyd 判圈法)。给定两个指针,
分别命名为 slow 和 fast,起始位置在链表的开头。每次 fast 前进两步,slow 前进一步。如果 fast
可以走到尽头,那么说明没有环路;如果 fast 可以无限走下去,那么说明一定有环路,且一定存
在一个时刻 slow 和 fast 相遇。当 slow 和 fast 第一次相遇时,我们将 fast 重新移动到链表开头,并
让 slow 和 fast 每次都前进一步。当 slow 和 fast 第二次相遇时,相遇的节点即为环路的开始点。
"""
slow = fast = head
cycle = False
while fast:
slow = slow.next
fast = fast.next
if fast is None:
return None
if not cycle:
fast = fast.next
if slow == fast:
if cycle or fast == head:
# 第二次碰或者已在开头
return slow
cycle = True
fast = head
continue
return None
本文介绍如何使用快慢指针算法解决链表中是否存在循环的问题,通过Python实现并探讨O(1)内存优化方案。实例分析了多种情况,包括给定头节点和环路起点位置。
374

被折叠的 条评论
为什么被折叠?



