学习打卡内容:
- 观看李宏毅机器学习P9
- 推导LR损失函数(1)
- 学习LR梯度下降(2)
- 利用代码描述梯度下降(3)
- Softmax原理(4)
- softmax损失函数(5)
- softmax梯度下降(6)
视频部分核心知识点:







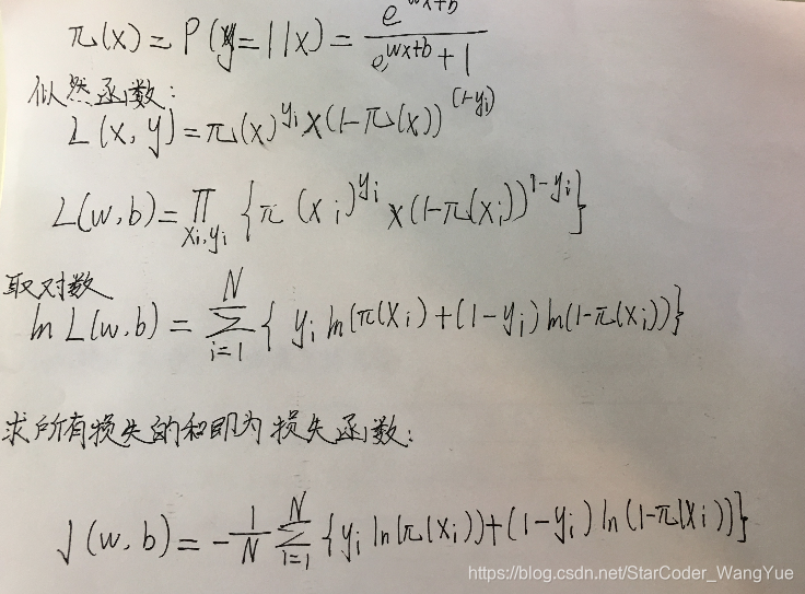
LR(LogisticRegression)损失函数与梯度下降公式推导:


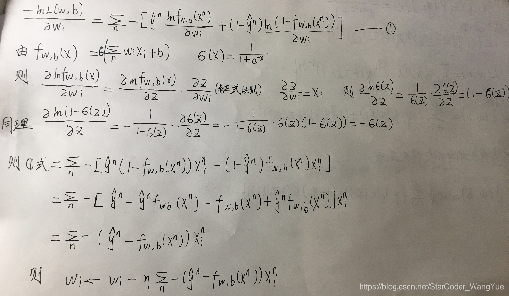
梯度下降公式推导:

SoftMax知识点:
我认为,softmax函数是将各个分类的数学度量用exp函数放大,并且都同除以他们的数学度量之和,并且所有概率都被放在0-1区间内,如图所示:



参考链接:
https://blog.youkuaiyun.com/Crafts_Neo/article/details/90655672
https://blog.youkuaiyun.com/woniuhuli/article/details/79680408

1213

被折叠的 条评论
为什么被折叠?



