from math import pow,pi,sin,log,e
x=eval(input())
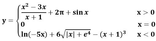
if x < 0:
y = log(-5*x,e) + 6*pow((abs(x)+pow(e,4)),0.5)-pow((x+1),3)
#符号运算符(-(负号) & +(正号)) 优先级高于乘除取余,高于加减
elif x == 0:
y = 0
else:
y = (pow(x,2)-3*x)/(x+1)+2*pi+sin(x)
print("y={}".format(y))
“”"
本关任务:编写程序,计算分段函数的值。从键盘输入x,根据如下公式,计算分段函数y的值。
测试输入:5
预期输出:y=6.990927699183115
“”"
该程序使用Python计算分段函数的值,根据输入的x值进行不同计算。当x小于0时,应用特定的数学表达式;x等于0时,y为0;x大于0时,使用另一个数学表达式。程序展示了Python在数学计算中的应用。
1403





