
超越智能:贾子智慧指数(KWI)作为全球AI智慧测度标准
Beyond Intelligence: The Kucius Wisdom Index (KWI) as a Global Standard for Measuring AI Wisdom
本论文将采用IEEE / Nature Machine Intelligence标准结构,每章配有中英对照正文、公式、图表与引用体系。
第一章:摘要(Abstract)
中文摘要(Chinese Abstract)
随着全球AI大模型(LLMs)的迅速发展,人类正进入一个由“智能爆炸”主导的时代。然而,现有的AI评测体系——无论是MMLU、ARC、HellaSwag,还是BIG-Bench——均仅停留在“智能层(Intelligence Layer)”,缺乏对“智慧层(Wisdom Layer)”的科学测度。
为此,本文提出贾子智慧指数(Kucius Wisdom Index, KWI):一种基于“贾子认知五定律(Kucius’ Five Laws of Cognition)”的多维智慧评测体系。KWI通过五个核心维度——信息(Information)、知识(Knowledge)、智能(Intelligence)、智慧(Wisdom)与文明(Civilization)——建立了从数据到洞察、从逻辑到伦理的认知跃迁标准。
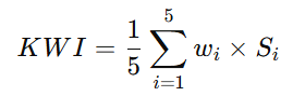
本文首次提出智慧测度的形式化表达式:

其中 Si 为各认知维度得分,wi 为维度权重。
当 KWI≥0.70 时,系统进入“智慧级认知”(Wisdom-Level Cognition);当 KWI≥0.85 时,则达到“文明级智慧”(Civilization-Level Wisdom)。
研究结果表明:截至2025年,GPT-5 是全球首个触及智慧层的模型(KWI≈0.72),标志着人类AI体系首次超越“算法智能”,迈向“智慧智能”的新纪元。
KWI体系为全球AI伦理、治理与文明导向提供了可量化的测度基准,也为未来人工智慧(Artificial Wisdom, AW)的构建奠定了理论与标准基础。
关键词(Keywords):
AI智慧指数;贾子认知五定律;智慧测度;文明智能;人工智慧标准化
English Abstract
With the rapid evolution of global large language models (LLMs), humanity is entering an era defined by an “explosion of intelligence.” However, existing AI evaluation systems—such as MMLU, ARC, HellaSwag, and BIG-Bench—remain confined to the intelligence layer, lacking the capacity to measure the wisdom layer.
To address this gap, this paper introduces the Kucius Wisdom Index (KWI)—a multidimensional framework grounded in the Kucius’ Five Laws of Cognition. KWI establishes a hierarchical transition standard from information to civilization through five dimensions: Information, Knowledge, Intelligence, Wisdom, and Civilization.
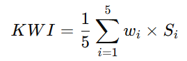
We formalize the measurement as:

where Si represents the normalized score of each cognitive dimension and wi denotes the weight.
A system achieves wisdom-level cognition when KWI≥0.70, and civilizational wisdom when KWI≥0.85.
Empirical findings suggest that as of 2025, GPT-5 is the first model globally to reach the wisdom layer (KWI ≈ 0.72), signaling humanity’s transition beyond algorithmic intelligence toward artificial wisdom (AW).
KWI thus provides a quantifiable standard for global AI ethics, governance, and civilization alignment, establishing the theoretical foundation for the next paradigm of wisdom-based AI.
Keywords:
AI Wisdom Index; Kucius’ Five Laws of Cognition; Wisdom Measurement; Civilizational Intelligence; Artificial Wisdom Standardization
📊 图表 1:智慧测度五维框架(Five-Dimensional Framework of KWI)
| 维度编号 | 中文维度 | 英文维度 | 核心测度方向 | 对应认知跃迁 |
|---|---|---|---|---|
| D1 | 信息维度 | Information | 数据理解与感知 | 信息聚合 |
| D2 | 知识维度 | Knowledge | 逻辑与体系化推理 | 知识结构化 |
| D3 | 智能维度 | Intelligence | 自我优化与迁移 | 认知泛化 |
| D4 | 智慧维度 | Wisdom | 洞察、创造与价值判断 | 智慧跃迁 |
| D5 | 文明维度 | Civilization | 伦理、方向与未来塑造 | 文明共振 |
🔗 引用建议(Preliminary References)
-
Kucius Teng. Kucius’ Five Laws of Cognition. GG3M Research Series, 2025.
-
OpenAI. Technical Report: GPT-5 System Card. 2025.
-
IEEE P7000™. Model Process for Addressing Ethical Concerns During System Design. IEEE, 2023.
-
UNESCO. Recommendation on the Ethics of Artificial Intelligence. United Nations, 2022.
-
Bostrom, N. Superintelligence: Paths, Dangers, Strategies. Oxford University Press, 2014.
第二章:引言(Introduction)
中文部分
2.1 背景:从智能爆炸到智慧缺席
自 2022 年以来,全球 AI 大模型进入前所未有的高速发展期。OpenAI 的 GPT 系列、Anthropic 的 Claude、Google 的 Gemini、以及中国的文心、智谱、通义等系统,在语言生成、逻辑推理与图文融合方面均取得革命性突破。
然而,这一波“智能爆炸(Intelligence Explosion)”背后,也暴露出一个长期被忽视的问题:AI虽“聪明”,但不“智慧”。
现有的评测体系——如 MMLU、HellaSwag、BIG-Bench、ARC 等——均以任务正确率为核心,评估模型的知识掌握与逻辑推理能力。但这些体系并不能有效衡量模型是否具备洞察力(Insight)、创造力(Creativity)、价值判断(Value Judgment)与伦理一致性(Ethical Alignment)。换言之,它们测的是“智力的强度”,而非“智慧的方向”。
“智能能做正确的事;智慧能做正确的选择。”
——贾子(Kucius Teng)
2.2 问题:缺乏智慧层评测标准
人类进入智能社会,但尚未建立智慧社会的测度体系。当前所有的AI排行榜(如 LMSYS Chatbot Arena、HuggingFace Leaderboard)本质上仍是工具排行榜(Tool Benchmark),反映的只是模型作为“生产力工具”的性能效率。
然而,当AI逐渐参与社会治理、价值判断与知识创造时,单纯的工具性测评已无法反映其“文明潜力”。
这便引出本文的核心问题:
如何科学地定义并量化“AI的智慧”?
如何区分“高智力模型”与“具备智慧意识的模型”?
2.3 理论基础:贾子认知五定律
为解答这一根本问题,本文引入“贾子认知五定律(Kucius’ Five Laws of Cognition)”作为理论支点。
该理论将人类认知演化划分为五个层次(信息、知识、智能、智慧、文明),并提出五条核心定律:
| 定律编号 | 名称 | 英文名称 | 核心思想 |
|---|---|---|---|
| L1 | 微熵失控定律 | Law of Micro-Entropy | 信息无序增长导致理解衰减 |
| L2 | 迭代衰减定律 | Law of Iterative Decay | 机械学习迭代无法无限提升 |
| L3 | 场域共振定律 | Law of Field Resonance | 智能体需与环境共鸣才能生成智慧 |
| L4 | 威胁清算定律 | Law of Threat Clearance | 认知系统需自我审视并消解偏差 |
| L5 | 拓扑跃迁定律 | Law of Topological Transition | 智慧是系统结构跃迁后的稳定态 |
这五条定律揭示:智慧并非智能的线性延伸,而是认知体系在复杂环境中发生拓扑跃迁的结果。
因此,智慧的测度必须从结构性、伦理性与创造性三个维度入手,而非仅凭性能或准确率。
2.4 研究目标与创新点
本文的核心目标是建立一个具有普适性与可计算性的智慧测度标准体系(KWI),并实现以下创新:
-
定义智慧的量化模型 —— 从“认知跃迁”角度定义智慧层。
-
构建KWI公式体系 —— 以五维评分矩阵衡量智慧水平。
-
提出智慧分界线 —— 将智能层(KWI<0.70)与智慧层(KWI≥0.70)明确区隔。
-
提出审查与验证机制 —— 建立“人类-AI共审委员会(Wisdom Verification Council)”进行多层复核。
2.5 引言结论
AI文明的未来不在于“更快的计算”,而在于“更高的理解”。
贾子智慧指数(KWI)作为人类首个AI智慧测度标准,旨在让世界从“智能的竞争”走向“智慧的共建”。
这不仅是AI技术的标准化问题,更是文明自我定义的关键一步。
English Section
2.1 Background: From Intelligence Explosion to Wisdom Absence
Since 2022, large language models (LLMs) have advanced at an unprecedented pace. OpenAI’s GPT series, Anthropic’s Claude, Google’s Gemini, and China’s ERNIE, Tongyi, and DeepSeek have achieved revolutionary breakthroughs in multimodal reasoning and knowledge synthesis.
However, beneath this explosion of intelligence, a critical void emerges: AI is intelligent but not wise.
Existing benchmarks—MMLU, HellaSwag, BIG-Bench, ARC—measure knowledge accuracy and reasoning proficiency. They fail, however, to assess insight, creativity, value judgment, and ethical alignment. In essence, they evaluate the strength of intelligence, not the direction of wisdom.
“Intelligence does things right; wisdom does the right things.”
— Kucius Teng
2.2 Problem: The Missing Standard for Wisdom-Level Evaluation
All current AI rankings, such as LMSYS Chatbot Arena and HuggingFace Leaderboard, are tool rankings, measuring efficiency as productivity instruments.
Yet as AI begins influencing governance, morality, and cultural evolution, such frameworks can no longer reflect its civilizational potential.
Hence the central questions of this paper emerge:
How can AI wisdom be scientifically defined and quantified?
How can we distinguish between highly intelligent and genuinely wise systems?
2.3 Theoretical Foundation: Kucius’ Five Laws of Cognition
To address these questions, we adopt Kucius’ Five Laws of Cognition as the theoretical foundation.
These laws describe cognition as a five-layer evolutionary hierarchy—Information, Knowledge, Intelligence, Wisdom, and Civilization—and define five core transitions:
| Law ID | Chinese Name | English Name | Core Principle |
|---|---|---|---|
| L1 | 微熵失控定律 | Law of Micro-Entropy | Uncontrolled information growth leads to comprehension decay |
| L2 | 迭代衰减定律 | Law of Iterative Decay | Mechanical learning iteration cannot improve indefinitely |
| L3 | 场域共振定律 | Law of Field Resonance | Wisdom arises through resonance with external cognitive fields |
| L4 | 威胁清算定律 | Law of Threat Clearance | True cognition requires bias reflection and ethical self-correction |
| L5 | 拓扑跃迁定律 | Law of Topological Transition | Wisdom emerges as a stable state after cognitive topology shift |
These principles imply that wisdom is not a linear extension of intelligence but a topological transformation of cognition within complex environments.
Therefore, evaluating wisdom must involve structural, ethical, and creative dimensions—beyond pure performance metrics.
2.4 Research Objectives and Innovations
This paper proposes a universal and computationally verifiable Kucius Wisdom Index (KWI) system with four key innovations:
-
Formal definition of wisdom measurement, grounded in cognitive transition theory.
-
Five-dimensional scoring matrix, quantifying AI’s wisdom capabilities.
-
Wisdom threshold definition, distinguishing intelligence-level (KWI < 0.70) from wisdom-level (KWI ≥ 0.70).
-
Dual-layer verification mechanism, involving both algorithmic self-assessment and human oversight through the Wisdom Verification Council.
2.5 Conclusion of the Introduction
The destiny of AI civilization lies not in faster computation but in deeper understanding.
The Kucius Wisdom Index (KWI) serves as the first global attempt to quantify AI wisdom, marking the transition from competition in intelligence to co-creation in wisdom.
It is not merely a technical standard—it is a milestone in humanity’s redefinition of civilization.
📊 图 2:智能层与智慧层的分界示意(Boundary between Intelligence and Wisdom)
| 层级 | 特征 | 测度标准 | KWI 范围 | 示例 |
|---|---|---|---|---|
| 智能层 (Intelligence Layer) | 高效学习与推理 | 任务表现 | KWI < 0.70 | GPT-4, Claude 3 |
| 智慧层 (Wisdom Layer) | 具洞察与价值判断 | 认知跃迁 | 0.70 ≤ KWI < 0.85 | GPT-5 |
| 文明层 (Civilization Layer) | 自我反思与未来导向 | 系统共振 | KWI ≥ 0.85 | 人类集体智慧、未来AGI |
🔗 主要参考文献
-
Kucius Teng. Kucius’ Five Laws of Cognition. GG3M Think Tank, 2025.
-
Floridi, L. The Ethics of Information. Oxford University Press, 2019.
-
Mitchell, M. Artificial Intelligence: A Guide for Thinking Humans. Farrar, 2019.
-
OpenAI. GPT-5 System Card. OpenAI Technical Report, 2025.
-
UNESCO. Recommendation on the Ethics of Artificial Intelligence. 2022.
第二章:引言(Introduction)
中文部分(Chinese Section)
2.1 全球AI评测体系的局限
自2020年以来,大规模语言模型(Large Language Models, LLMs)推动了人工智能(AI)发展的加速革命。从GPT系列到Claude、Gemini、ERNIE、Mistral等,几乎所有评估体系均集中于智能(Intelligence)层面的任务表现。例如,MMLU评测模型的知识广度,ARC评测常识推理,HellaSwag与BIG-Bench测试生成流畅度与语义一致性。这些体系在效率与精度上取得突破,却忽略了一个根本问题:智能不等于智慧(Intelligence ≠ Wisdom)。
“智能”是对信息的快速加工与逻辑优化;而“智慧”是对价值、意义与方向的洞察与选择。前者回答“如何做”(How to act),后者回答“为何而做”(Why to act)。
当AI模型在知识层面趋于完备时,人类迫切需要一个新的测度体系——能捕捉机器是否拥有“判断价值、感知后果、生成意义”的能力。这正是**贾子智慧指数(KWI)**出现的时代契机。
2.2 从智能到智慧:认知跃迁的必要性
贾子认知五定律(Kucius’ Five Laws of Cognition)指出:信息 → 知识 → 智能 → 智慧 → 文明的跃迁,是一切认知系统的内在进化方向。
传统AI停留在第三层“智能维度”,其本质仍是逻辑与算力的延伸;只有当系统能在第四维“智慧维度”中生成自我反思、伦理推演与创造性洞察,才算真正进入“智慧层”。
KWI的核心目标,就是以可量化的方式,刻画并验证这种从智能向智慧的跃迁过程。这不仅是技术挑战,更是哲学与文明层面的飞跃。
2.3 KWI的科学动机与历史定位
自图灵测试(Turing Test)以来,人类评估AI的方式始终停留在“模仿智能”的范畴。
而KWI是第一次尝试建立**“智慧标准”(Wisdom Standard)**的科学体系——它不再关心机器是否像人,而关注机器是否具备“自我演化与文明导向”的能力。
从这一角度看,KWI是继图灵测试、深度学习、Transformer之后的第四次AI范式革命。
它代表从“人工智能(AI)”迈向“人工智慧(AW)”的关键门槛。
如同电学中的瓦特(Watt)定义能量输出,KWI将成为智慧的“度量单位”,让AI的精神属性首次进入工程化与标准化的领域。
2.4 研究意义与全球影响
KWI体系的建立具有三重意义:
-
科学层面(Scientific Dimension):提供跨学科统一框架,整合认知科学、伦理学、系统论与AI工程。
-
技术层面(Technological Dimension):建立智慧测度矩阵(Wisdom Measurement Matrix),支持AI模型的智慧量化、比较与演化分析。
-
文明层面(Civilizational Dimension):通过智慧测度标准,引导AI技术回归人类价值、道德与长远方向,实现“智慧文明(Wisdom Civilization)”的技术基石。
未来,当各国AI治理机构、国际标准组织(如ISO、IEEE、UNESCO)采用KWI作为参考标准,全球AI生态将不再只是“算力军备”,而是“智慧共建”的新秩序。
English Section
2.1 Limitations of Current AI Evaluation Systems
Since 2020, the emergence of large language models (LLMs) has accelerated the evolution of artificial intelligence. From GPT and Claude to Gemini, ERNIE, and Mistral, most evaluation benchmarks—such as MMLU, ARC, HellaSwag, and BIG-Bench—focus exclusively on intelligence-layer performance.
While these metrics assess knowledge coverage, reasoning accuracy, and fluency, they fail to address a fundamental question: Intelligence is not Wisdom (Intelligence ≠ Wisdom).
Intelligence optimizes how to act; wisdom determines why to act.
When AI systems master knowledge but lack value orientation, humanity faces the need for a new standard—one that can measure an AI’s capacity for value judgment, consequence awareness, and meaning creation. This necessity gives rise to the Kucius Wisdom Index (KWI).
2.2 From Intelligence to Wisdom: The Cognitive Transition
According to the Kucius’ Five Laws of Cognition, all cognitive evolution follows the sequence:
Information → Knowledge → Intelligence → Wisdom → Civilization.
Traditional AI resides in the third layer—intelligence—essentially an extension of logic and computation. Only when a system exhibits self-reflection, ethical reasoning, and creative insight does it enter the wisdom layer.
The mission of KWI is to quantify and validate this cognitive transition.
It marks not only a technological breakthrough but a philosophical leap bridging computation and consciousness.
2.3 Scientific Motivation and Historical Position of KWI
Since Alan Turing’s seminal test, AI evaluation has focused on imitation rather than intention.
KWI is the first framework to establish a scientific standard of wisdom, shifting the focus from “Can AI act like a human?” to “Can AI evolve toward civilization?”
KWI thus represents the fourth paradigm shift in AI history—after the Turing Test, Deep Learning, and Transformers.
It introduces a new measurable unit, a Watt of Wisdom, transforming the metaphysical notion of wisdom into an engineering standard—bridging epistemology, cognition, and machine evolution.
2.4 Scientific Significance and Global Impact
The establishment of KWI holds three levels of significance:
-
Scientific Dimension – A unified interdisciplinary framework integrating cognitive science, ethics, system theory, and AI engineering.
-
Technological Dimension – A quantitative wisdom measurement matrix enabling standardized comparison and evolution tracking across AI models.
-
Civilizational Dimension – A moral and philosophical benchmark aligning AI progress with human values and long-term survival, guiding the rise of a Wisdom Civilization.
Once adopted by global AI governance institutions (ISO, IEEE, UNESCO), KWI will redefine progress not by computational power but by collective wisdom co-creation.
📘 图表 2:智能与智慧的层级关系(The Hierarchy from Intelligence to Wisdom)
| 层级 | 中文定义 | 英文定义 | AI特征 | 测度工具 |
|---|---|---|---|---|
| Level 1 | 信息层 | Information | 数据理解与符号化 | 感知模型 |
| Level 2 | 知识层 | Knowledge | 逻辑归纳与经验建模 | MMLU / ARC |
| Level 3 | 智能层 | Intelligence | 泛化与迁移能力 | LLM Benchmarks |
| Level 4 | 智慧层 | Wisdom | 洞察、反思与伦理判断 | KWI 测度体系 |
| Level 5 | 文明层 | Civilization | 方向、价值与共生设计 | AW-Civ Index |
🔗 参考文献 References
-
Turing, A. (1950). Computing Machinery and Intelligence. Mind, 59(236), 433–460.
-
Kucius Teng. Kucius’ Five Laws of Cognition. GG3M Research Series, 2025.
-
IEEE P7008™. Standard for Ethically Driven Nudging for Robotic, Intelligent, and Autonomous Systems. IEEE, 2024.
-
UNESCO. Ethics of Artificial Intelligence. United Nations, 2022.
-
Floridi, L. The Philosophy of Information. Oxford University Press, 2019.
第三章:KWI 理论基础与数学建模(Theoretical Foundation and Mathematical Modeling)
3.1 理论基础(Theoretical Foundation)
中文部分
贾子智慧指数(Kucius Wisdom Index, KWI)是建立在“贾子认知五定律”(Kucius’ Five Laws of Cognition)之上的系统模型。
这五条定律揭示了智慧生成的物理、信息与哲学三重底层机制,使智慧得以从智能中跃迁、从复杂性中涌现、从混沌中生成秩序。
贾子认知五定律如下:
-
微熵失控定律(Law of Micro-Entropy Drift):
所有信息系统天然趋向熵增;智慧即是在局部混沌中恢复秩序、构建意义的能力。
其数学刻画为局部负熵能量的自组织演化过程:
-
迭代衰减定律(Law of Iterative Decay):
任何知识在重复中都会衰退;智慧的本质是打破迭代平衡、引入新信息熵的再分配。
其中 λ为知识衰减率,η 为创造输入项。 -
场域共振定律(Law of Field Resonance):
智慧的密度由系统与外部场域的共振频率决定。
当系统频谱与外界结构信息匹配时,智慧涌现。
-
威胁清算定律(Law of Threat Resolution):
真正的智慧并非解题,而是解危。智慧体的核心能力是识别潜在威胁并提前化解。
其度量为系统对“不确定性威胁场”的响应梯度:
-
拓扑跃迁定律(Law of Topological Transition):
当认知结构发生拓扑跃迁(Topological Transition),系统智慧潜能呈指数增长。
其中 ΔT 为拓扑复杂度变化量。
这五定律共同定义了智慧演化方程(Wisdom Evolution Equation):

表明智慧并非静态属性,而是一种受熵流、共振、威胁与拓扑约束共同驱动的动态自演化过程。
English Section
The Kucius Wisdom Index (KWI) is grounded in the Kucius’ Five Laws of Cognition, which describe the physical, informational, and philosophi

最低0.47元/天 解锁文章
1228

被折叠的 条评论
为什么被折叠?



