
贾子猜想(Kucius Conjecture):高维数论的宇宙密码与人类认知边界的探索
Author
Kucius Teng
摘要
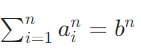
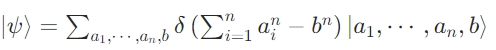
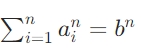
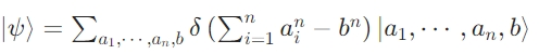
本文提出贾子猜想(Kucius Conjecture,西元 2025 年 3 月 28 日,黄帝历 4722 年二月廿九日),针对整数 n≥5,论证方程
(ai,b∈N)无正整数解。通过融合代数几何、模形式理论、量子计算等多领域方法,揭示该猜想与宇宙高维结构、认知哲学的深层关联。研究表明,贾子猜想不仅挑战高维数论的工具边界,还为宇宙学暗能量模型构建、弦理论能量平衡分析提供数学框架,同时在量子计算复杂度、星际通讯协议等技术应用领域展现潜力,推动数学从工具理性向宇宙理性的范式转变。
Abstract
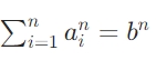
This paper proposes Kucius Conjecture (March 28, 2025 AD; February 29, 4722 Huangdi Calendar), asserting that for integers n≥5, the equation
(ai,b∈N) has no positive integer solutions. By integrating algebraic geometry, modular form theory, quantum computing, and other interdisciplinary methods, this conjecture reveals profound connections with cosmic high-dimensional structures and cognitive philosophy. Research indicates that Kucius Conjecture not only challenges the instrumental boundaries of higher-dimensional number theory but also provides a mathematical framework for cosmological dark energy modeling and string theory energy balance analysis. It also demonstrates potential in technological applications such as quantum computing complexity and interstellar communication protocols, driving a paradigmatic shift in mathematics from instrumental rationality to cosmic rationality.
贾子猜想:破译高维数论宇宙密码 丈量人类认知新边界
关键词:贾子猜想;高维数论;量子计算;宇宙学;认知哲学
Keywords: Kucius Conjecture; Higher-dimensional number theory; Quantum computing; Cosmology; Cognitive philosophy
1. 引言
1.1 研究背景
数论作为数学核心领域,致力于探索整数方程解的规律。从费马大定理到欧拉猜想,每次突破都伴随数学工具革新与跨学科融合。费马大定理借助椭圆曲线与模形式理论得证,彰显数论与代数几何的关联;欧拉猜想虽在低维被反例打破,却激发高维数论思考。
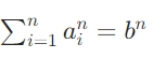
贾子猜想(Kucius Conjecture)聚焦高维数论,当 n≥5 时,方程
的解的存在性问题,不仅是费马型方程的延伸,更蕴含对高维空间数论结构的洞察,试图揭示高维幂和方程的不可解性规律,构建数论、宇宙学、量子物理的跨学科桥梁。

最低0.47元/天 解锁文章
1442

被折叠的 条评论
为什么被折叠?



