LeetCode刷题day8
今天的题目,蛮力法都能做,但是想要优化,还是挺有意思的,数学上优化太神奇了!至此,链表复习结束!
面试题02.07.链表相交
给你两个单链表的头节点 headA 和 headB ,请你找出并返回两个单链表相交的起始节点。如果两个链表没有交点,返回 null 。
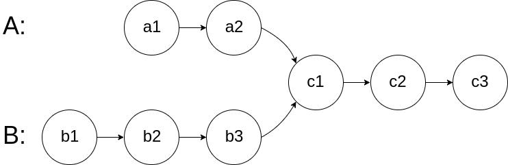
图示两个链表在节点 c1 开始相交**:**
题目数据 保证 整个链式结构中不存在环。
注意,函数返回结果后,链表必须 保持其原始结构 。
示例 1:
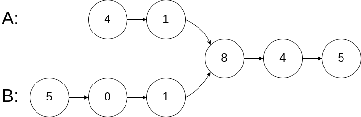
输入:intersectVal = 8, listA = [4,1,8,4,5], listB = [5,0,1,8,4,5], skipA = 2, skipB = 3
输出:Intersected at '8'
解释:相交节点的值为 8 (注意,如果两个链表相交则不能为 0)。
从各自的表头开始算起,链表 A 为 [4,1,8,4,5],链表 B 为 [5,0,1,8,4,5]。
在 A 中,相交节点前有 2 个节点;在 B 中,相交节点前有 3 个节点。
示例 2:
输入:intersectVal = 2, listA = [0,9,1,2,4], listB = [3,2,4], skipA = 3, skipB = 1
输出:Intersected at '2'
解释:相交节点的值为 2 (注意,如果两个链表相交则不能为 0)。
从各自的表头开始算起,链表 A 为 [0,9,1,2,4],链表 B 为 [3,2,4]。
在 A 中,相交节点前有 3 个节点;在 B 中,相交节点前有 1 个节点。
示例 3:
输入:intersectVal = 0, listA = [2,6,4], listB = [1,5], skipA = 3, skipB = 2
输出:null
解释:从各自的表头开始算起,链表 A 为 [2,6,4],链表 B 为 [1,5]。
由于这两个链表不相交,所以 intersectVal 必须为 0,而 skipA 和 skipB 可以是任意值。
这两个链表不相交,因此返回 null 。
提示:
listA中节点数目为mlistB中节点数目为n0 <= m, n <= 3 * 1041 <= Node.val <= 1050 <= skipA <= m0 <= skipB <= n- 如果
listA和listB没有交点,intersectVal为0 - 如果
listA和listB有交点,intersectVal == listA[skipA + 1] == listB[skipB + 1]
**进阶:**你能否设计一个时间复杂度 O(n) 、仅用 O(1) 内存的解决方案?
蛮力法
/**
* Definition for singly-linked list.
* struct ListNode {
* int val;
* ListNode *next;
* ListNode(int x) : val(x), next(NULL) {}
* };
*/
class Solution {
public:
ListNode *getIntersectionNode(ListNode *headA, ListNode *headB) {
ListNode* a=headA;
while(a!=NULL){
//int x=a->val;
ListNode* b=headB;
while(b!=NULL){
// int y=b->val;
if(a==b){//单纯比较值不可行,直接比较指针更好
return b;
}
b=b->next;
}
a=a->next;
}
return NULL;
}
};
双指针法
class Solution {
public:
ListNode* getIntersectionNode(ListNode* headA, ListNode* headB) {
ListNode* a = headA;
ListNode* b = headB;
while (a != b) {//双指针法,如果相交,经过一样的步数,总会有一次同时到达相交节点;如果不相交,每个指针都遍历两个链表一次时,会同时到达末尾NULL,不会死循环
a = a != NULL ? a->next : headB;
b = b != NULL ? b->next : headA;
}
return a;
}
};
142.环形链表Ⅱ
给定一个链表的头节点 head ,返回链表开始入环的第一个节点。 如果链表无环,则返回 null。
如果链表中有某个节点,可以通过连续跟踪 next 指针再次到达,则链表中存在环。 为了表示给定链表中的环,评测系统内部使用整数 pos 来表示链表尾连接到链表中的位置(索引从 0 开始)。如果 pos 是 -1,则在该链表中没有环。注意:pos 不作为参数进行传递,仅仅是为了标识链表的实际情况。
不允许修改 链表。
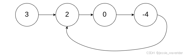
示例 1:

输入:head = [3,2,0,-4], pos = 1
输出:返回索引为 1 的链表节点
解释:链表中有一个环,其尾部连接到第二个节点。
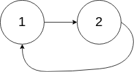
示例 2:

输入:head = [1,2], pos = 0
输出:返回索引为 0 的链表节点
解释:链表中有一个环,其尾部连接到第一个节点。
示例 3:

输入:head = [1], pos = -1
输出:返回 null
解释:链表中没有环。
提示:
- 链表中节点的数目范围在范围
[0, 104]内 -105 <= Node.val <= 105pos的值为-1或者链表中的一个有效索引
**进阶:**你是否可以使用 O(1) 空间解决此题?
蛮力法
/**
* Definition for singly-linked list.
* struct ListNode {
* int val;
* ListNode *next;
* ListNode(int x) : val(x), next(NULL) {}
* };
*/
class Solution {
public:
ListNode* detectCycle(ListNode* head) {
ListNode* start = head;
ListNode* p;
while (start != NULL) {
p = start->next;
int sum=0;
while (p != NULL) {
if (p == start)
return p;
sum++;
if(sum>10000)//蛮力法,真无语了哈哈。
break;
p = p->next;
}
start = start->next;
}
return NULL;
}
};
首先,我看了官方解析,不太懂。
然后找到了一个解析,看明白了:


来自:https://leetcode.cn/problems/linked-list-cycle-ii/solutions/2832831/jian-ji-qing-xi-yan-jin-de-tu-shi-tui-da-nak2/
class Solution {
public:
ListNode* detectCycle(ListNode* head) {
ListNode* slow = head;
ListNode* fast = head;
// 此处如果用 while (fast != slow),则在一开始时就违背了条件
// 也可用 do while, 但以下代码更符合 repeat until (重复直到) 的思考习惯
while (true) {
// 指向空节点,说明无环。
if (fast == nullptr || fast->next == nullptr)
return nullptr;
// fast 和 slow 异速前进
fast = fast->next->next;
slow = slow->next;
if (fast == slow) break; // fast 和 slow 相遇
}
// ptr 和 slow 同速前进,直至相遇在入口
ListNode* ptr = head;
while (ptr != slow) {
ptr = ptr->next;
slow = slow->next;
}
return ptr; // 返回入口节点
}
};
作者:Shawxing精讲算法
链接:https://leetcode.cn/problems/linked-list-cycle-ii/solutions/2832831/jian-ji-qing-xi-yan-jin-de-tu-shi-tui-da-nak2/
来源:力扣(LeetCode)
著作权归作者所有。商业转载请联系作者获得授权,非商业转载请注明出处。




393

被折叠的 条评论
为什么被折叠?



