【从零构建系列】YOLOv1
(论文地址:https://arxiv.org/pdf/1506.02640.pdf)
模型介绍

以下为论文中的简述:
在YOLOv1提出之前,R-CNN系列算法在目标检测领域中独占鳌头。R-CNN系列检测精度高,但是由于其网络结构是双阶段(two-stage)的特点,使得它的检测速度不能满足实时性,饱受诟病。为了打破这一僵局,涉及一种速度更快的目标检测器是大势所趋。
2016年,Joseph Redmon、Santosh Divvala、Ross Girshick等人提出了一种单阶段(one-stage)的目标检测网络。它的检测速度非常快,每秒可以处理45帧图片,能够轻松地实时运行。由于其速度之快和其使用的特殊方法,作者将其取名为:You Only Look Once(也就是我们常说的YOLO的全称),并将该成果发表在了CVPR2016上,从而引起了广泛地关注。
YOLO的核心思想就是把目标检测转变成一个回归问题,利用整张图作为网络的输入,仅仅经过一个神经网络,得到bounding box(边界框)的位置及其所属的类别。
此处我们可以通过以下图点简单了解Faster-RCNN与YOLO:

总结:
- YOLOv1没了RPN这个结构,更加专注于在backbone中得到最终的结果。(从理论上说应该是没有anchor结构定义,采用的是网格结构,在后来的YOLOv2结构中仍旧是anchor结构)
- YOLOv1输出采用的是
耦合头(分类+边框回归+置信度分数 在一起)
代码实现
要快速理解整个模型,必须先搞清楚它输入了什么,输出了什么(注意:目标检测中你不仅仅要知道我在上述图片中所表述的东西,也要知道正负样本划分,数据集的预处理),其次才是主干网络做了什么(这个时候你需要带入时代感,什么是时代感,就是说这个网络啥时候诞生的,这个时间点CNN、FCN、RCNN…都在干什么,为什么这样去思考,原因就是在于在后来的历史中主干网络其实有更多选择,比如编者在代码实现中主要使用MobileNetV3,此处就不解释了。最后你需要考虑如何训练,训练损失、优化器、是否启用衰减学习法等等…)
输入输出
输入数据展示(此处数据集来源于《动手学习深度学习》,目标为图中的香蕉,.jpg 格式)
注意:大小重要吗? 不重要,反正都可以统一Resize,除非你输入的图像宽高比很离谱
常见的处理方式:1、Resize 2、Pad

输出数据展示(.txt):
0 0.484375 0.152344 0.179688 0.164062
从左往右依次为“类别,真实框中心点坐标xy,宽,高”,都是按照占用原图宽高比例来计算的。(啊?你问为什么要这样做,因为如果是数值,那图片在进行数据增强的时候,岂不是惨了。)
然后如果图中有多个目标,则像如下内容生成即可。
0 0.484375 0.152344 0.179688 0.164062
0 0.484375 0.152344 0.179688 0.164062 # 此处仅仅是举例说明
数据差不多像这样

每一张图片对应它的标注

然后就是代码(此处不解释Dataset,DataLoader,看pytorch官网说明):
import numpy as np
import torch
from torch import nn
from torch.utils.data import Dataset, DataLoader
import os
from PIL import Image
from torchvision.transforms import transforms
class YOLODataset(Dataset):
def __init__(self, root_dir, s=7, b=2, c=1, transform=None):
super().__init__()
self.s = s # 网格数量
self.b = b # bbox的数量
self.c = c # 分类数量
self.transform = transform
# 获取所有的图片地址
images_path = os.path.join(root_dir, "images")
image_names = os.listdir(images_path)
self.image_urls = [os.path.join(images_path, name) for name in image_names]
# 获取所有的图片标注信息
labels_path = os.path.join(root_dir, "labels")
label_names = os.listdir(labels_path)
self.label_urls = [os.path.join(labels_path, name) for name in label_names]
def __getitem__(self, index):
image_path = self.image_urls[index]
label_path = self.label_urls[index]
with open(label_path, "r", encoding="utf-8") as f:
bboxes = [[float(item) for item in line.strip().split()] for line in f.readlines()]
bboxes = torch.tensor(bboxes)[:, [1, 2, 3, 4, 0]]
img_pl = Image.open(image_path).convert("RGB")
image = torch.from_numpy(np.array(img_pl)).permute([2, 0, 1])
if self.transform:
image = self.transform(image.float())
target = torch.zeros((self.s, self.s, self.b * 5 + self.c))
for bbox in bboxes:
# 边框回归参数计算
cx, cy, w, h, label = bbox.tolist()
i = int(cx // (1 / self.s))
j = int(cy // (1 / self.s))
# 直接开方,一起前向传播。
w_sqrt = w ** 0.5
h_sqrt = h ** 0.5
target[i, j, int(self.b * 5 + label)] = 1
target[i, j, 0:5] = torch.tensor([cx, cy, w_sqrt, h_sqrt, 1.])
return image, target
def __len__(self):
return len(self.image_urls)
def get_loader(root_dir, batch_size):
transform = transforms.Compose([
transforms.Resize((448, 448)),
transforms.Normalize(mean=[0.485, 0.456, 0.406], std=[0.229, 0.224, 0.225])
])
train_dataset = YOLODataset(os.path.join(root_dir, "train"), transform=transform)
valid_dataset = YOLODataset(os.path.join(root_dir, "val"), transform=transform)
train_loader = DataLoader(train_dataset, batch_size=batch_size, shuffle=True)
valid_loader = DataLoader(valid_dataset, batch_size=batch_size, shuffle=True)
return train_loader, valid_loader
# ================= 测试数据集加载的代码 ==================
if __name__ == '__main__':
train_loader, valid_loader = get_loader("../data", 5)
for image, target in train_loader:
print(image.shape)
print(target.shape)
break
模型结构
官方模型结构如下:

我并没有采用官方说的那个模型,而是直接使用了mobilenetv3作为主干网络。(原因我已说明)
此处的主干网络,论文已有说明是预训练过后的网络,因此采用了torchvision.models的权重。
from torch import nn
from torchvision.models import mobilenet_v3_large, MobileNet_V3_Large_Weights
class YOLOv1(nn.Module):
def __init__(self, s, b, c):
super().__init__()
self.s = s
self.b = b
self.c = c
mobilenet = mobilenet_v3_large(weights=MobileNet_V3_Large_Weights.IMAGENET1K_V1)
self.backbone = mobilenet.features
self.conv = nn.Sequential(
nn.Conv2d(960, 1024, 1),
nn.BatchNorm2d(1024),
nn.ReLU(),
nn.Conv2d(1024, 1024, 3, 2, 1),
nn.BatchNorm2d(1024),
nn.ReLU(),
)
self.fc = nn.Sequential(
nn.Flatten(),
nn.Linear(1024 * 7 * 7, 1024),
nn.ReLU(),
nn.Linear(1024, int((self.b * 5 + self.c) * self.s * self.s))
)
def forward(self, x):
x = self.backbone(x)
x = self.conv(x)
x = self.fc(x)
return x.reshape(-1, int(self.b * 5 + self.c))
# ================= 测试模型结构的代码 ==================
if __name__ == '__main__':
from torchsummary import summary
model = YOLOv1(7, 2, 1)
summary(model, (3, 448, 448), device="cpu")
模型训练
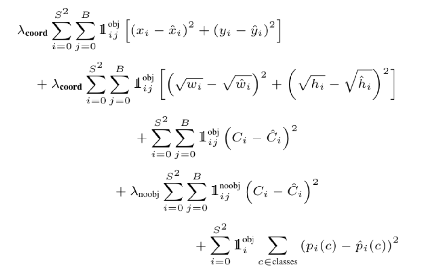
模型训练损失参照论文原图:

此处有几点内容你需要知道:
1、λ 参数是什么?λ coord 这是边框回归损失系数 设置为5, λ noobj 这是不包含对象框置信度损失系数 设置0.5
(为什么是5,0.5? 因为正负样本不平衡,负样本数量远大于正样本数量)
2、正负样本又是如何划分? 作者按照输出特征网格数量在原图中划分,如果预测中心在原图网格中则是正样本,反之则为负样本。如下图所示。

3、为什么w,h要开方,因为同样的均方差距离,对于小样本来说损失太大,大样本来说损失很小

from dataset.loader import get_loader
from backbone.mobilenet_yolo import YOLOv1
import torch
from torch import nn
from tqdm import tqdm
if __name__ == '__main__':
train_loader, valid_loader = get_loader("./data", batch_size=5)
s = 7
b = 2
c = 1
device = torch.device("cuda")
model = YOLOv1(s, b, c)
model = model.to(device)
criterion = nn.MSELoss()
optimizer = torch.optim.Adam(model.parameters(), lr=0.0001)
lambda_coord = 5
lambda_noobj = 0.5
epochs = 1000
for epoch in range(epochs):
loss_list = []
loop = tqdm(train_loader)
for image, target in loop:
image = image.to(device)
target = target.reshape(-1, 5 * b + c)
target = target.to(device)
optimizer.zero_grad()
predicts = model(image)
# 包含目标对象的掩码
mask_obj = target[:, 4] == 1
# 不包含对象的掩码
mask_noobj = target[:, 4] == 0
# 位置损失
loss1 = lambda_coord * criterion(predicts[mask_obj][:, 0:4], target[mask_obj][:, 0:4])
# criterion(predicts[mask_obj][:, 5:9], target[mask_obj][:, 5:9])
# 置信度损失
loss2 = criterion(predicts[mask_obj][:, [4, 9]], target[mask_obj][:, [4, 9]]) + \
lambda_noobj * criterion(predicts[mask_noobj][:, [4, 9]], target[mask_noobj][:, [4, 9]])
# 分类损失
loss3 = criterion(predicts[mask_obj][:, 5 * b:], target[mask_obj][:, 5 * b:])
loss = loss1 + loss2 + loss3
loss.backward()
optimizer.step()
loop.set_postfix({"loss": f"{loss.item():.4f}"})
loss_list.append(loss.item())
avg_loss = sum(loss_list) / len(loss_list)
print(f"epoch:{epoch + 1}/{epochs} -- loss:{avg_loss:.4f}")
性能表现
(1)优点
- YOLO检测速度非常快。标准版本的YOLO可以每秒处理45张图像;YOLO的极速版本每秒可以处理150帧图像。这就意味着YOLO可以小于25毫秒延迟,实时地处理视频。对于欠实时系统,在准确率保证的情况下,YOLO速度快于其他方法。
- YOLO实时检测的平均精度是其他实时监测系统的两倍。
- 迁移能力强,能运用到其他新的领域(比如艺术品目标检测)。
(2)局限性
- YOLO对相互靠近的物体,以及很小的群体检测效果不好,这是因为一个网格只预测了2个框,并且都只属于同一类。
- 由于损失函数的问题,定位误差是影响检测效果的主要原因,尤其是大小物体的处理上,还有待加强。(因为对于小的bounding boxes,small error影响更大)。
5张图像;YOLO的极速版本每秒可以处理150帧图像。这就意味着YOLO可以小于25毫秒延迟,实时地处理视频。对于欠实时系统,在准确率保证的情况下,YOLO速度快于其他方法。 - YOLO实时检测的平均精度是其他实时监测系统的两倍。
- 迁移能力强,能运用到其他新的领域(比如艺术品目标检测)。
(2)局限性
- YOLO对相互靠近的物体,以及很小的群体检测效果不好,这是因为一个网格只预测了2个框,并且都只属于同一类。
- 由于损失函数的问题,定位误差是影响检测效果的主要原因,尤其是大小物体的处理上,还有待加强。(因为对于小的bounding boxes,small error影响更大)。
- YOLO对不常见的角度的目标泛化性性能偏弱。
5万+

被折叠的 条评论
为什么被折叠?



