本文将首先简要概述支持向量机及其训练和推理方程,然后将其转换为代码以开发支持向量机模型。之后然后将其扩展成多分类的场景,并通过使用Sci-kit Learn测试我们的模型来结束。
SVM概述
支持向量机的目标是拟合获得最大边缘的超平面(两个类中最近点的距离)。可以直观地表明,这样的超平面(A)比没有最大化边际的超平面(B)具有更好的泛化特性和对噪声的鲁棒性。

为了实现这一点,SVM通过求解以下优化问题找到超平面的W和b:

它试图找到W,b,使最近点的距离最大化,并正确分类所有内容(如y取±1的约束)。这可以被证明相当于以下优化问题:
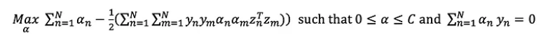
可以写出等价的对偶优化问题

这个问题的解决方案产生了一个拉格朗日乘数,我们假设数据集中的每个点的大小为m:,。目标函数在α中明显是二次的,约束是线性的,这意味着它可以很容易地用二次规划求解。一旦找到解,由对偶的推导可知:

注意,只有具有α>0的点才定义超平面(对和有贡献)。这些被称为支持向量。因此当给定一个新例子x时,返回其预测y=±1的预测方程为:

这种支持向量机的基本形式被称为硬边界支持向量机(hard margin SVM),因为它解决的优化问题(如上所述)强制要求训练中的所有点必须被正确分类。但在实际场景中,可能存在一些噪声,阻止或限制了完美分离数据的超平面,在这种情况下,优化问题将不返回或返回一个糟糕的解决方案。

软边界支持向量机(soft margin SVM)通过引入C常数(用户给定的超参数)来适应优化问题,该常数控制它应该有多“硬”。特别地,它将原优化问题修改为:

它允许每个点产生一些错误λ(例如,在超平面的错误一侧),并且通过将它们在目标函数中的总和加权C来减少它们。当C趋于无穷时(一般情况下肯定不会),它就等于硬边界。与此同时,较小的C将允许更多的“违规行为”(以换取更大的支持;例如,更小的w (w)。
可以证明,等价对偶问题只有在约束每个点的α≤C时才会发生变化。

由于允许违例,支持向量(带有α>0的点)不再都在边界的边缘。任何错误的支持向量都具有α=C,而非支持向量(α=0)不能发生错误。我们称潜在错误(α=C)的支持向量为“非错误编剧支持向量”和其他纯粹的支持向量(没有违规;“边界支持向量”(0<α<C)。
这样推理方程不变:

现在必须是一个没有违规的支持向量,因为方程假设它在边界的边缘。
软边界支持向量机扩展了硬边界支持向量机来处理噪声,但通常由于噪声以外的因素,例如自然非线性,数据不能被超平面分离。软边界支持向量机可以用于这样的情况,但是最优解决方案的超平面,它允许的误差远远超过现实中可以容忍的误差。

例如,在左边的例子中,无论C的设置如何,软边界支持向量机都找不到线性超平面。但是可以通过某种转换函数z=Φ(x)将数据集中的每个点x映射到更高的维度,从而使数据在新的高维空间中更加线性(或完全线性)。这相当于用z替换x得到:


本文详述了支持向量机(SVM)的概念,包括最大化边缘的超平面、优化问题及其对偶形式。接着介绍了Python实现SVM,涵盖核函数、软边界和支持向量。还探讨了多分类SVM的实现,通过训练多个二元分类器来处理多类问题,并展示了与Sci-kit Learn的对比。最后,总结了SVM的学习和应用。
最低0.47元/天 解锁文章
286





