河南专升本高等数学考点汇总(一)
第一章 函数、极限和连续
考试重点及复习规划
本章出题在19分–29分之间,是出题最多的一章,考点也比较多,但本章内容很多学生在专科阶段都系统学习过,学习时结合书中例题掌握每个知识点,独立完成同步练习、真题聚焦和模拟训练.
考点1. 确定两个函数是否为同一函数 —09年出过一题,其他年份没有出.
考点2.求复合函数或函数值或复合函数的外层函数或内层函数
考点3.求函数的定义域—必考,是选择题第一题或填空一第一题,类型一出题最多.
考点4.涉及函数性质的有关题目—必考,选择题的第二题.
考点5. 涉及反函数的有关题目
考点6.有关极限概念及性质的题目.
考点7.利用极限的运算法则有极限或由极限有待定系数.
考点8. 无穷小量阶的比较.
考点9. 利用极限的收敛准则及两个重要极限求极限.
考点10.求复杂函数的极限—计算题第一题
考点11.分段函数求待定常数或讨论分段函数的连续性—必考
考点12.指出函数间断点的类型—必考
考点13. 利用零点定理确定方程根的存在性或证明含有ξ的等式—间断考.
一、函数
1.函数的性质
单调性、奇偶性、周期性、有界性。奇函数的图像关于原点对称,偶函数的图像关于y轴对称。

2.基本初等函数

3.求反函数的一般步骤

二、极限
1.函数极限的四则运算法则

2.两个重要极限

3.等价无穷小

三、函数的连续性
1.连续条件

2.函数的间断点


3.零点定理

4.方程根的存在性的判定

第二章 导数与微分
考试重点及复习规划
本章出题在15分–19分之间,计算题有一题5分,本章知识点不多,题型也比较固定.理解和掌握各类函数求导方法;掌握利用导数定义求导数或极限;理解导数的几何意义;掌握函数连续、可导和可微之间的关系;并能利用微分不变性求导数或微分.复合函数求导非常灵活,并注意每一步的求导变量,只有多做一些练习题,才能生巧、才能准确,不出错误.
考点1.利用导数的定义,求极限或导数或讨论函数在某点可导性—必考
考点2. 解析式函数求导函数(某点导数)或高阶导数.
考点3. 参数方程确定函数求导—必考
考点4.若干函数连乘、除、乘方、开方所构成的复合函数求导数.
考点5. 解析式显函数求微分.
考点6. 隐函数求导或求微分.
考点7. 幂指函数求导数或微分.
考点8. 含有复合的抽象函数求导数或微分.
考点9. 涉及曲线的切线或法线方程等其他题目.
一、导数的概念
1.导数的定义

2.导数的几何意义

3.可导与联系的关系
可导必连续,连续不一定可导。
函数在一点处可导的充分必要条件是函数在该点处的左右导数存在且相等。
二、一元函数求导法则
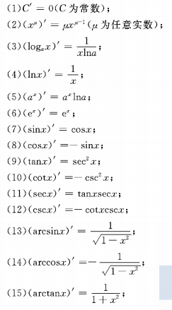
1.常见的求导公式


2.导数的四则运算法则

3.复合函数求导法则

4.反函数求导法则

5.高阶导数

三、函数的微分
1.微分的四则运算及复合函数微分法

2.常用的微分公式


第三章 导数的应用
考试重点及复习规划
本章考点比较多,是前两章的应用,有14个考点,5个必出考点,一般出题在25分左右,能够拉开分数题目往往都在该章出.
考点1. 指出函数在给定的区间上是否满足罗尔定理、拉格朗日定理或满足定理求定理中值.
考点2. 利用罗尔定理证明方程根的存在性或含有ξ的等式.
考点3. 利用拉格朗日定理证明连体不等式.
考点4. 利用洛必达法则及其他方法求函数极限
考点5. 求函数的单调增区间或减区间.
考点6. 求函数的极值或极值点.
考点7. 利用函数的单调性证明单体不等式.
考点8. 证明方程有且只有一个实根.
考点9.求函数在闭区间上最大值和最小值及由极值或最值求有关待定系数-----极值的直接应用
考点10. 函数极值的实际应用-----函数的最优化问题------简单建模问题
考点11. 求曲线的凹向区间.
考点12. 求曲线的拐点坐标.
考点13. 求函数某种形式的渐近线------必出考点
考点14.函数极值、最值、单调性、凹向性、拐点等结合综合题.
一、中值定理及洛必达法则
1.罗尔定理


2.拉格朗日中值定理

3.洛必达法则


二、一元函数的单调性与极值的判定


三、曲线的凹凸性及渐近线
1.曲线凹凸性的判断


2.曲线的拐点
连续曲线凹与凸的分界点称为拐点,一般通过二阶导数是否为零以及在该点两侧二阶导数是否异号来判断某点是否为拐点,注意在拐点处二阶导数可能不存在。
3.曲线的渐近线


本文是专升本高等数学考试的知识点汇总,涵盖函数、极限、连续性、导数与微分的重要考点,包括函数性质、极限运算法则、连续性、导数定义、中值定理、洛必达法则及其应用。针对每个考点提供复习建议和解题技巧。
&spm=1001.2101.3001.5002&articleId=108093814&d=1&t=3&u=4d88ce3a3dac43359ef398ed36319667)
1479

被折叠的 条评论
为什么被折叠?



