



两函数正交的数学证明

不同周期的正弦函数相互成正交关系(余弦也一样)



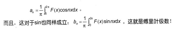
an,bn分别代表cosnx和sinnx的大小,幅度;cosnx和sinnx上面的n则代表周期,频率;
而通过改变an和bn的排列规律,傅里叶级数可以表示出任意的波形(周期的)
比如

将x值带入可算出这个波形上y轴的值F(x),也就是对应到了图上的一个点

实际运算n不可能是无限大的,都是取有限的n来计算,n越大,合成的波形也越来越接近方波
![]()
当我们需要求解其中一个系数时可以利用函数正交的性质

所以公式为

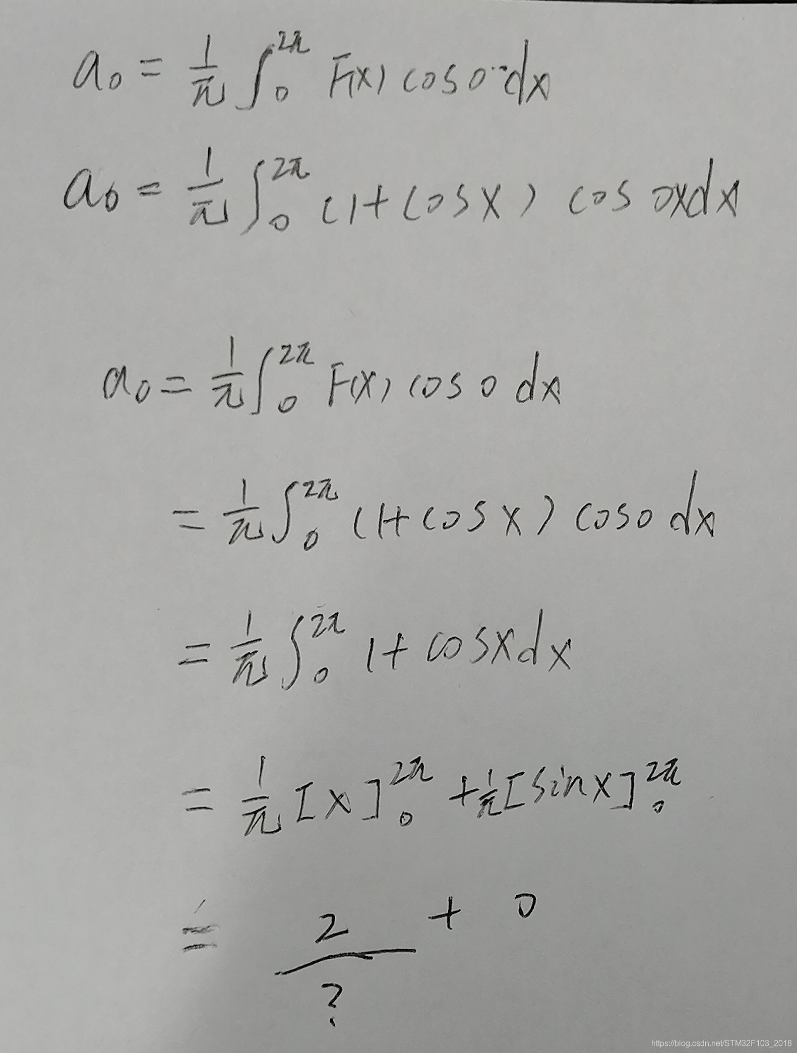
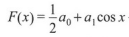
假设一个傅里叶级数极简形式n=2,a0=1,a1=1,b0=0,b1=0;那么
F(x)=a0cos0x+a1cos1x+b0cos0x+b1cos1x
=1*cos0x+1*cos1x+0*cos0x+0*cos1x
=1+cosx

让我们求cos1x的振幅a1

所以a1=1

同理求a0,从图形上看a0应该为1,因为整个图形向上偏移了1
![]()

用原公式计算a0时结果并不如想象那样,正确结果应该是1不是吗,所以a0单独乘个1/2
![]()
这样就能用同一个公式来描述了,数学嘛无非是一种工具,只要能满足实际应用就好
805

被折叠的 条评论
为什么被折叠?



