拓扑排序(Toplogical Sort)从一组有依赖关系的任务中得到一个能完成所有任务的序列。

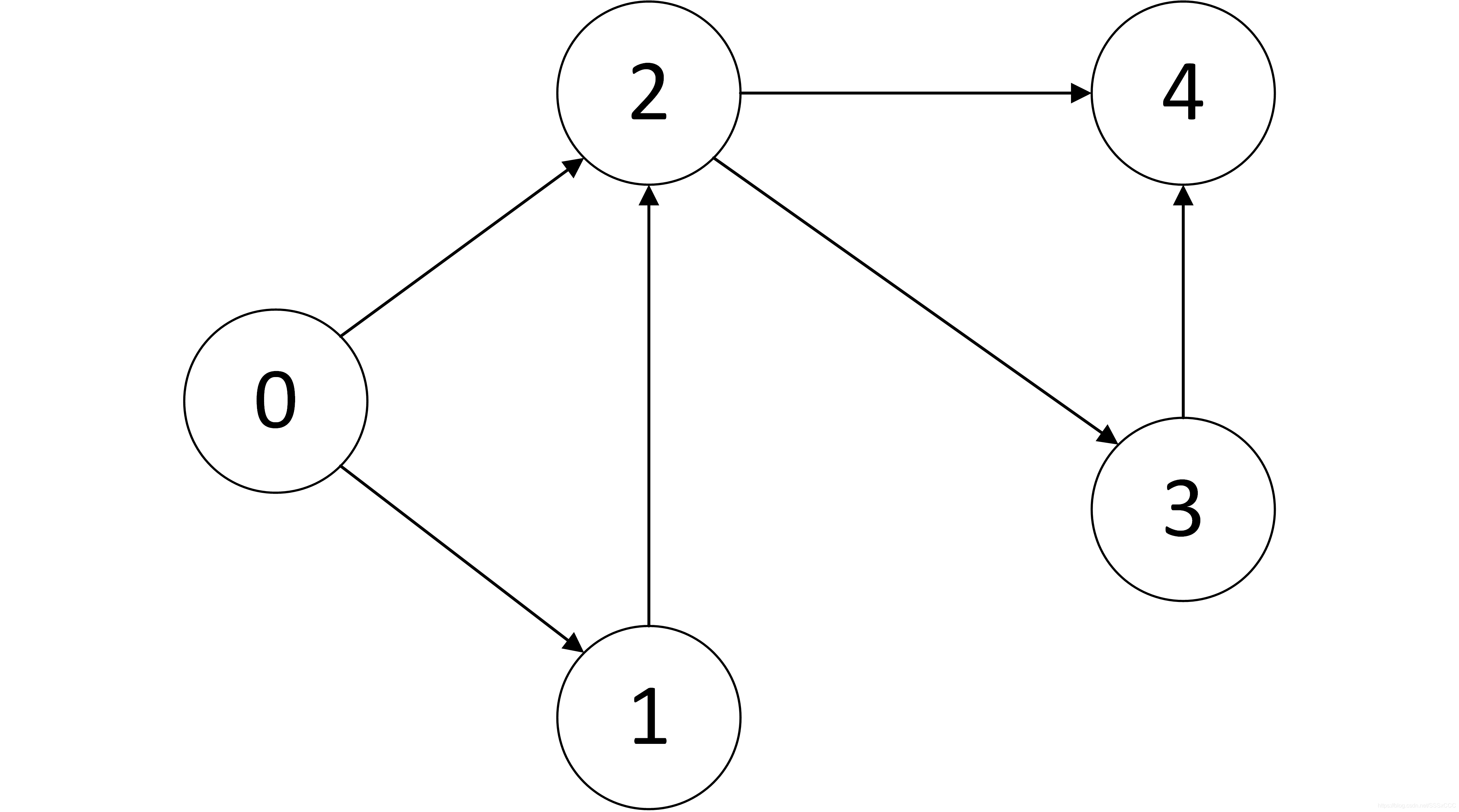
如图所示,有5个任务:0、1、2、3、4。其中有依赖关系:
0必须在1和2之前完成;
1必须在2之前完成;
2必须在3和4之前完成;
3必须在4之前完成。
这样一组有依赖关系的任务可以看成是一个有向图,其中图的顶点是任务,有向边是依赖关系。
根据此图一个能完成所有任务的序列是:0 -> 1 -> 2 -> 3 -> 4。
排序算法步骤:
顶点的入度是指在图中终点为该顶点的边的数量。
1 初始化排序结果为一个空的列表
2 选取入度为0的顶点加到排序结果列表的最后
3 在图中删除这个顶点,如果所有顶点都从图中删除了则结束,否则回到步骤2
java代码实现:
import java.util.*;
public class TopologicalSort {
public static List<Integer> topologicalSort(Map<Integer, List<Integer>> graph) {
Map<Integer, Integer> inDegree = new HashMap<>();
for (List<Integer> toList : graph.values()) {
for (int v : toList) inDegree.put(v, inDegree.getOrDefault(v, 0) + 1);
}
List<Integer> open = new ArrayList<>();
for (int v : graph.keySet()) if (!inDegree.containsKey(v)) open.add(v);
List<Integer> sorted = new ArrayList<>();
while (!open.isEmpty()) {
int v = open.remove(open.size() - 1);
sorted.add(v);
for (int toV : graph.get(v)) {
inDegree.put(toV, inDegree.get(toV) - 1);
if (inDegree.get(toV) <= 0) open.add(toV);
}
}
return sorted.size() == graph.size() ? sorted : null;
}
public static void main(String[] args) {
Map<Integer, List<Integer>> graph = new HashMap<>();
graph.put(0, Arrays.asList(1, 2));
graph.put(1, Arrays.asList(2));
graph.put(2, Arrays.asList(3, 4));
graph.put(3, Arrays.asList(4));
graph.put(4, Arrays.asList());
System.out.println(topologicalSort(graph)); // [0, 1, 2, 3, 4]
}
}
322





