删除排序链表中的重复元素
leetcode82. 删除排序链表中的重复元素 II
来源:力扣(LeetCode)
链接:https://leetcode.cn/problems/remove-duplicates-from-sorted-list-ii
题目描述
给定一个已排序的链表的头 head , 删除原始链表中所有重复数字的节点,只留下不同的数字 。返回 已排序的链表 。
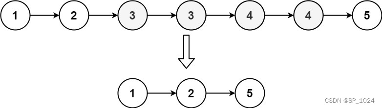
示例1:
输入:head = [1,2,3,3,4,4,5]
输出:[1,2,5]
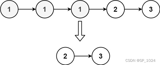
示例2:
输入:head = [1,1,1,2,3]
输出:[2,3]
提示:
链表中节点数目在范围 [0, 300] 内
-100 <= Node.val <= 100
题目数据保证链表已经按升序 排列
通过次数343,738提交次数642,044
一次遍历
给定的链表是排好序的,因此重复的元素在链表中出现的位置是连续的,因此我们只需要对链表进行一次遍历,就可以删除重复的元素。由于链表的头节点可能会被删除,我们用一个辅助节点指向头节点
具体地,我们从指针cur指向链表的辅助节点,随后开始对链表进行遍历。如果当前 cur.next与cur.next.next 对应的元素相同,那么我们就需要将cur.next以及所有后面拥有相同元素值的链表节点全部删除。我们记下这个元素值 xx,随后不断将 cur.next从链表中移除,直到 cur.next为空节点或者其元素值不等于 xx 为止。此时,我们将链表中所有元素值为 xx 的节点全部删除。
代码演示
/**
* Definition for singly-linked list.
* public class ListNode {
* int val;
* ListNode next;
* ListNode() {}
* ListNode(int val) { this.val = val; }
* ListNode(int val, ListNode next) { this.val = val; this.next = next; }
* }
*/
class Solution {
public ListNode deleteDuplicates(ListNode head) {
if(head == null || head.next == null) {
return head;
}
ListNode dummy = new ListNode(0, head);
ListNode cur = dummy;
while(cur.next != null && cur.next.next != null){
if(cur.next.val == cur.next.next.val){
int x = cur.next.val;
while(cur.next != null && cur.next.val == x){
cur.next = cur.next.next;
}
}else{
cur = cur.next;
}
}
return dummy.next;
}
}

该文章介绍了如何解决LeetCode第82题,即在已排序的链表中删除重复的元素,只需一次遍历。通过创建一个辅助节点和一个指向当前节点的指针,检查相邻节点是否相等,若相等则连续删除,直至找到不同值的节点或遇到空节点。


501

被折叠的 条评论
为什么被折叠?



